ÌâÄ¿ÄÚÈÝ

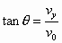
ÈçͼËùʾ£¬KÓëÐéÏßMNÖ®¼äÊǼÓËٵ糡£®ÐéÏßMNÓëPQÖ®¼äÊÇÔÈÇ¿µç³¡£¬ÐéÏßPQÓëÓ«¹âÆÁÖ®¼äÊÇÔÈÇ¿´Å³¡£¬ÇÒMN¡¢PQÓëÓ«¹âÆÁÈýÕß»¥ÏàÆ½ÐУ®µç³¡ºÍ´Å³¡µÄ·½ÏòÈçͼËùʾ£®Í¼ÖÐAµãÓëOµãµÄÁ¬Ïß´¹Ö±ÓÚÓ«¹âÆÁ£®Ò»´øÕýµçµÄÁ£×Ó´ÓAµãÀ뿪¼ÓËٵ糡£¬ËÙ¶È·½Ïò´¹Ö±ÓÚÆ«×ªµç³¡·½ÏòÉäÈëÆ«×ªµç³¡£¬ÔÚÀ뿪ƫתµç³¡ºó½øÈëÔÈÇ¿´Å³¡£¬×îºóÇ¡ºÃ´¹Ö±µØ´òÔÚÓ«¹âÆÁÉÏ£®ÒÑÖªµç³¡ºÍ´Å³¡ÇøÓòÔÚÊúÖ±·½Ïò×ã¹»³¤£¬¼ÓËٵ糡µçѹÓëÆ«×ªµç³¡µÄ³¡Ç¿¹ØÏµÎªU£½Ed£¬Ê½ÖеÄdÊÇÆ«×ªµç³¡µÄ¿í¶È£¬´Å³¡µÄ´Å¸ÐӦǿ¶ÈBÓëÆ«×ªµç³¡µÄµç³¡Ç¿¶ÈEºÍ´øµçÁ£×ÓÀ뿪¼ÓËٵ糡µÄËÙ¶Èv0¹ØÏµ·ûºÏ±í´ïʽv0£½£¬ÈôÌâÖÐÖ»ÓÐÆ«×ªµç³¡µÄ¿í¶ÈdΪÒÑÖªÁ¿£¬Ôò£º

(1)»­³ö´øµçÁ£×ӹ켣ʾÒâͼ£»

(2)´Å³¡µÄ¿í¶ÈLΪ¶àÉÙ£¿

(3)´øµçÁ£×ÓÔڵ糡ºÍ´Å³¡Öд¹Ö±ÓÚv0·½ÏòµÄƫת¾àÀë·Ö±ðÊǶàÉÙ£¿

´ð°¸£º
½âÎö£º

¡¡¡¡(1)¹ì¼£ÈçͼËùʾ

¡¡¡¡(2)Á£×ÓÔÚ¼ÓËٵ糡ÖÐÓɶ¯Äܶ¨ÀíÓС¡¡¡¡¡¢Ù

¡¡¡¡Á£×ÓÔÚÔÈÇ¿µç³¡ÖÐ×öÀàÆ½Å×Ô˶¯£¬ÉèÆ«×ª½ÇΪ£¬ÓÐ

¡¡¡¡¡¡¡¡¡¡¡¡¡¡¢Ú

¡¡¡¡¡¡¡¡¡¡¡¡¡¡¡¡¢Û

¡¡¡¡¡¡¡¡¡¡¡¡¡¡¡¡¢Ü

¡¡¡¡¡¡¡¡¡¡¡¡¡¡¡¡¢Ý

¡¡¡¡U£½Ed¡¡¡¡¡¡¡¡¡¡¢Þ

¡¡¡¡Óɢ٢ڢۢܢݢ޽âµÃ£º¦È£½45o

¡¡¡¡Óɼ¸ºÎ¹ØÏµµÃ£º´øµçÁ£×ÓÀ뿪ƫתµç³¡ËÙ¶ÈΪ

¡¡¡¡Á£×ÓÔڴų¡ÖÐÔ˶¯£¬ÓÉÅ£¶ÙµÚ¶þ¶¨ÂÉÓУºqvB£½ma

¡¡¡¡Ôڴų¡ÖÐÆ«×ªµÄ°ë¾¶Îª

¡¡¡¡£¬ÓÉͼ¿ÉÖª£¬´Å³¡¿í¶ÈL£½Rsin¦È£½d

¡¡¡¡(3)Óɼ¸ºÎ¹ØÏµ¿ÉµÃ£º´øµçÁ£×ÓÔÚÆ«×ªµç³¡ÖоàÀëΪ£¬

¡¡¡¡Ôڴų¡ÖÐÆ«×ª¾àÀëΪ


Á·Ï°²áϵÁдð°¸
Ïà¹ØÌâÄ¿
£¨1£©£¨ÁйØÓÚ¡¶Ì½¾¿µ¯Á¦FÓ뵯»ÉÉ쳤xµÄ¹ØÏµ¡·ÊµÑéµÄ˵·¨ÖÐÕýÈ·µÄÊÇ
B
B

A¡¢ÊµÑéÖУ¬kµÄ¾ßÌåÊýÖµ±ØÐë¼ÆËã³öÀ´
B¡¢Ã¿´ÎËù¹Ò¹³ÂëµÄÖÊÁ¿²îÒªÊʵ±´óһЩ£¬ÕâÑù×÷³öµÄF©¥©¥xͼÏ߸ü¾«È·
C¡¢×÷³öF©¥©¥xͼÏßʱ£¬Òª°ÑËùÓеĵãÁ¬µ½ÏßÉϲÅÄÜ̽¾¿µÃµ½ÕæÊµµÄ¹æÂÉ
D¡¢Èç¹ûûÓвâ³öµ¯»ÉµÄÔ­³¤£¬Óõ¯»ÉµÄ³¤¶ÈL´úÌæx£¬ÔòF©¥©¥LͼÏßÒ²ÊǹýÔ­µãµÄÒ»ÌõÖ±Ïß
£¨2£©½«ÏðÆ¤½îµÄÒ»¶Ë¹Ì¶¨ÔÚAµã£¬ÁíÒ»¶ËË©ÉÏÁ½¸ùϸÉþ£¬Ã¿¸ùϸÉþ·Ö±ðÁ¬×ÅÒ»¸öÁ¿³ÌΪ5N¡¢×îС¿Ì¶ÈΪ0.1NµÄµ¯»É²âÁ¦¼Æ£®ÑØ×ÅÁ½¸ö²»Í¬µÄ·½ÏòÀ­µ¯»É²âÁ¦¼Æ£®µ±ÏðÆ¤½îµÄ»î¶¯¶ËÀ­µ½Oµãʱ£¬Á½¸ùϸÉþÏ໥´¹Ö±£¬ÈçͼËùʾ£®Õâʱµ¯»É²âÁ¦¼ÆµÄ¶ÁÊý¿É´ÓͼÖжÁ³ö£®

¢ÙÓÉͼ¿É¶ÁµÃµ¯»É²âÁ¦¼ÆaµÄ¶ÁÊýΪ
4.00
4.00
N£®¢ÚÔÚ±¾ÌâµÄÐéÏß·½¸ñÖ½Éϰ´×÷ͼ·¨µÄÒªÇó»­³öÕâÁ½¸öÁ¦¼°ËüÃǵĺÏÁ¦
£¨3£©Ò»ÃûͬѧÓÃÓÒͼËùʾװÖÃ̽¾¿¼ÓËÙ¶ÈÓëÁ¦Ö®¼äµÄ¹ØÏµ£®ÊµÑéÖУ¬ÔÚ±£³ÖС³µÖÊÁ¿M²»±äµÄÌõ¼þÏ£¬¶à´Î¸Ä±äɰͰÖÊÁ¿m£¬²âµÃ¶ÔÓ¦µÄС³µ¼ÓËÙ¶Èa£®ÒÑÖªµç´Å´òµã¼ÆÊ±Æ÷ËùÓý»±äµçÁ÷µÄƵÂÊΪ50HZ£®ÈçͼÊÇijһ´ÎʵÑéʱµÃµ½µÄÖ½´ø£¬Í¼ÖÐABCDEFÊÇÖ½´øÉÏÁù¸ö¼ÆÊýµã£®2´ÓÖ½´øÉ϶Á³öB¡¢CÁ½µã¼ä¾àS=
1.40
1.40
cm£»

¢ÚÓÉÖ½´øÊý¾ÝÇó³öÕâ´ÎʵÑéʱС³µµÄ¼ÓËÙ¶ÈΪ
2.50
2.50
 m/s2
¢ÛÔÚ
M¡Ým
M¡Ým
Ìõ¼þÏ£¬¿ÉÒÔÈÏΪÉþ¶ÔС³µµÄÀ­Á¦½üËÆµÈÓÚɳºÍɳͰµÄ×ÜÖØÁ¦£¬ÔÚ¿ØÖÆ
M
M
²»±äµÄÇé¿öÏ£¬¿ÉÒÔ̽¾¿¼ÓËÙ¶ÈÓëºÏÁ¦µÄ¹ØÏµ£®

µÚ¢ñ¾í£¨Ñ¡ÔñÌâ¡¡¹²31·Ö£©

Ò»¡¢µ¥ÏîÑ¡ÔñÌ⣮±¾Ìâ¹²5СÌ⣬ÿСÌâ3·Ö£¬¹²¼Æ15·Ö£®Ã¿Ð¡ÌâÖ»ÓÐÒ»¸öÑ¡Ïî·ûºÏÌâÒ⣮

1. ¹ØÓÚ¿ÆÑ§¼ÒºÍËûÃǵűÏ×£¬ÏÂÁÐ˵·¨ÖÐÕýÈ·µÄÊÇ[À´Ô´:Www..com]

A£®°²ÅàÊ×ÏÈ·¢ÏÖÁ˵çÁ÷µÄ´ÅЧӦ

B£®Ù¤ÀûÂÔÈÏΪ×ÔÓÉÂäÌåÔ˶¯ÊÇËÙ¶ÈËæÎ»ÒÆ¾ùÔȱ仯µÄÔ˶¯

C£®Å£¶Ù·¢ÏÖÁËÍòÓÐÒýÁ¦¶¨ÂÉ£¬²¢¼ÆËã³öÌ«ÑôÓëµØÇò¼äÒýÁ¦µÄ´óС

D£®·¨À­µÚÌá³öÁ˵糡µÄ¹Ûµã£¬ËµÃ÷´¦Óڵ糡ÖеçºÉËùÊܵ½µÄÁ¦Êǵ糡¸øÓèµÄ

2£®ÈçͼΪһÖÖÖ÷¶¯Ê½¹â¿Ø±¨¾¯Æ÷Ô­Àíͼ£¬Í¼ÖÐR1ºÍR2Ϊ¹âÃôµç×裬R3ºÍR4Ϊ¶¨Öµµç×裮µ±ÉäÏò¹âÃôµç×èR1ºÍR2µÄÈκÎÒ»Êø¹âÏß±»ÕÚµ²Ê±£¬¶¼»áÒýÆð¾¯Áå·¢Éù£¬ÔòͼÖÐÐéÏß¿òÄڵĵç·ÊÇ

A£®ÓëÃÅ                  B£®»òÃÅ               C£®»ò·ÇÃÅ                  D£®Óë·ÇÃÅ

 


3£®ÈçͼËùʾµÄ½»Á÷µç·ÖУ¬ÀíÏë±äѹÆ÷Ô­ÏßȦÊäÈëµçѹΪU1£¬ÊäÈ빦ÂÊΪP1£¬Êä³ö¹¦ÂÊΪP2£¬¸÷½»Á÷µç±í¾ùΪÀíÏëµç±í£®µ±»¬¶¯±ä×èÆ÷RµÄ»¬¶¯Í·ÏòÏÂÒÆ¶¯Ê±

A£®µÆL±äÁÁ                                    B£®¸÷¸öµç±í¶ÁÊý¾ù±ä´ó

C£®ÒòΪU1²»±ä£¬ËùÒÔP1²»±ä                              D£®P1±ä´ó£¬ÇÒʼÖÕÓÐP1= P2

4£®ÊúÖ±Æ½ÃæÄڹ⻬Բ¹ìµÀÍâ²à£¬Ò»Ð¡ÇòÒÔijһˮƽËÙ¶Èv0´ÓAµã³ö·¢ÑØÔ²¹ìµÀÔ˶¯£¬ÖÁBµãʱÍÑÀë¹ìµÀ£¬×îÖÕÂäÔÚË®Æ½ÃæÉϵÄCµã£¬²»¼Æ¿ÕÆø×èÁ¦£®ÏÂÁÐ˵·¨Öв»ÕýÈ·µÄÊÇ

A£®ÔÚBµãʱ£¬Ð¡Çò¶ÔÔ²¹ìµÀµÄѹÁ¦ÎªÁã

B£®Bµ½C¹ý³Ì£¬Ð¡Çò×öÔȱäËÙÔ˶¯

C£®ÔÚAµãʱ£¬Ð¡Çò¶ÔÔ²¹ìµÀѹÁ¦´óÓÚÆäÖØÁ¦

D£®Aµ½B¹ý³Ì£¬Ð¡Çòˮƽ·½ÏòµÄ¼ÓËÙ¶ÈÏÈÔö¼Óºó¼õС

5£®ÈçͼËùʾ£¬Ë®Æ½ÃæÉÏ·ÅÖÃÖÊÁ¿ÎªMµÄÈý½ÇÐÎбÅü£¬Ð±Åü¶¥¶Ë°²×°¹â»¬µÄ¶¨»¬ÂÖ£¬Ï¸Éþ¿ç¹ý¶¨»¬ÂÖ·Ö±ðÁ¬½ÓÖÊÁ¿Îªm1ºÍm2µÄÎï¿é£®m1ÔÚÐ±ÃæÉÏÔ˶¯£¬Èý½ÇÐÎбÅü±£³Ö¾²Ö¹×´Ì¬£®ÏÂÁÐ˵·¨ÖÐÕýÈ·µÄÊÇ

A£®Èôm2ÏòÏÂÔ˶¯£¬ÔòбÅüÊܵ½Ë®Æ½ÃæÏò×óĦ²ÁÁ¦

B£®Èôm1ÑØÐ±ÃæÏòϼÓËÙÔ˶¯£¬ÔòбÅüÊܵ½Ë®Æ½ÃæÏòÓÒµÄĦ²ÁÁ¦

C£®Èôm1ÑØÐ±ÃæÏòÏÂÔ˶¯£¬ÔòбÅüÊܵ½Ë®Æ½ÃæµÄÖ§³ÖÁ¦´óÓÚ£¨m1+ m2+M£©g

D£®Èôm2ÏòÉÏÔ˶¯£¬ÔòÇáÉþµÄÀ­Á¦Ò»¶¨´óÓÚm2g

¶þ¡¢¶àÏîÑ¡ÔñÌ⣮±¾Ìâ¹²4СÌ⣬ÿСÌâ4·Ö£¬¹²¼Æ16·Ö£®Ã¿Ð¡ÌâÓжà¸öÑ¡Ïî·ûºÏÌâÒ⣮ȫ²¿Ñ¡¶ÔµÄµÃ4·Ö£¬Ñ¡¶Ôµ«²»È«µÄµÃ2·Ö£¬´íÑ¡»ò²»´ðµÄµÃ0·Ö£®

6£®Ä¾ÐÇÊÇÌ«ÑôϵÖÐ×î´óµÄÐÐÐÇ£¬ËüÓÐÖÚ¶àÎÀÐÇ£®¹Û²ì²â³ö£ºÄ¾ÐÇÈÆÌ«Ñô×÷Ô²ÖÜÔ˶¯µÄ°ë¾¶Îªr1¡¢ ÖÜÆÚΪT1£»Ä¾ÐǵÄijһÎÀÐÇÈÆÄ¾ÐÇ×÷Ô²ÖÜÔ˶¯µÄ°ë¾¶Îªr2¡¢ ÖÜÆÚΪT2£®ÒÑÖªÍòÓÐÒýÁ¦³£Á¿ÎªG£¬Ôò¸ù¾ÝÌâÖиø¶¨Ìõ¼þ

A£®ÄÜÇó³öľÐǵÄÖÊÁ¿

B£®ÄÜÇó³öľÐÇÓëÎÀÐǼäµÄÍòÓÐÒýÁ¦

C£®ÄÜÇó³öÌ«ÑôÓëľÐǼäµÄÍòÓÐÒýÁ¦

D£®¿ÉÒԶ϶¨

7£®ÈçͼËùʾ£¬xOy×ø±êÆ½ÃæÔÚÊúÖ±ÃæÄÚ£¬xÖáÑØË®Æ½·½Ïò£¬yÖáÕý·½ÏòÊúÖ±ÏòÉÏ£¬ÔÚͼʾ¿Õ¼äÄÚÓд¹Ö±ÓÚxOyÆ½ÃæµÄˮƽÔÈÇ¿´Å³¡£®Ò»´øµçСÇò´ÓOµãÓɾ²Ö¹ÊÍ·Å£¬Ô˶¯¹ì¼£ÈçͼÖÐÇúÏߣ®¹ØÓÚ´øµçСÇòµÄÔ˶¯£¬ÏÂÁÐ˵·¨ÖÐÕýÈ·µÄÊÇ

A£®OAB¹ì¼£Îª°ëÔ²

B£®Ð¡ÇòÔ˶¯ÖÁ×îµÍµãAʱËÙ¶È×î´ó£¬ÇÒÑØË®Æ½·½Ïò

C£®Ð¡ÇòÔÚÕû¸öÔ˶¯¹ý³ÌÖлúеÄÜÊØºã

D£®Ð¡ÇòÔÚAµãʱÊܵ½µÄÂåÂ××ÈÁ¦ÓëÖØÁ¦´óСÏàµÈ

8£®ÈçͼËùʾ£¬ÖÊÁ¿ÎªM¡¢³¤ÎªLµÄľ°åÖÃÓڹ⻬µÄË®Æ½ÃæÉÏ£¬Ò»ÖÊÁ¿ÎªmµÄ»¬¿é·ÅÖÃÔÚľ°å×ó¶Ë£¬»¬¿éÓëľ°å¼ä»¬¶¯Ä¦²ÁÁ¦´óСΪf£¬ÓÃˮƽµÄºã¶¨À­Á¦F×÷ÓÃÓÚ»¬¿é£®µ±»¬¿éÔ˶¯µ½Ä¾°åÓÒ¶Ëʱ£¬Ä¾°åÔÚµØÃæÉÏÒÆ¶¯µÄ¾àÀëΪs£¬»¬¿éËÙ¶ÈΪv1£¬Ä¾°åËÙ¶ÈΪv2£¬ÏÂÁнáÂÛÖÐÕýÈ·µÄÊÇ

A£®ÉÏÊö¹ý³ÌÖУ¬F×ö¹¦´óСΪ¡¡¡¡¡¡¡¡¡¡¡¡¡¡¡¡¡¡¡¡¡¡¡¡

B£®ÆäËûÌõ¼þ²»±äµÄÇé¿öÏ£¬FÔ½´ó£¬»¬¿éµ½´ïÓÒ¶ËËùÓÃʱ¼äÔ½³¤

C£®ÆäËûÌõ¼þ²»±äµÄÇé¿öÏ£¬MÔ½´ó£¬sԽС

D£®ÆäËûÌõ¼þ²»±äµÄÇé¿öÏ£¬fÔ½´ó£¬»¬¿éÓëľ°å¼ä²úÉúµÄÈÈÁ¿Ô½¶à

9£®ÈçͼËùʾ£¬Á½¸ö¹Ì¶¨µÄÏàͬϸ»·Ïà¾àÒ»¶¨µÄ¾àÀ룬ͬÖá·ÅÖã¬O1¡¢O2·Ö±ðΪÁ½»·µÄÔ²ÐÄ£¬Á½»··Ö±ð´øÓоùÔÈ·Ö²¼µÄµÈÁ¿ÒìÖÖµçºÉ£®Ò»´øÕýµçµÄÁ£×Ó´ÓºÜÔ¶´¦ÑØÖáÏß·ÉÀ´²¢´©¹ýÁ½»·£®ÔòÔÚ´øµçÁ£×ÓÔ˶¯¹ý³ÌÖÐ

A£®ÔÚO1µãÁ£×Ó¼ÓËÙ¶È·½ÏòÏò×ó

B£®´ÓO1µ½O2¹ý³ÌÁ£×ÓµçÊÆÄÜÒ»Ö±Ôö¼Ó

C£®ÖáÏßÉÏO1µãÓÒ²à´æÔÚÒ»µã£¬Á£×ÓÔڸõ㶯ÄÜ×îС

D£®ÖáÏßÉÏO1µãÓҲࡢO2µã×ó²à¶¼´æÔÚ³¡Ç¿ÎªÁãµÄµã£¬ËüÃǹØÓÚO1¡¢O2Á¬ÏßÖеã¶Ô³Æ

 


µÚ¢ò¾í£¨·ÇÑ¡ÔñÌâ¡¡¹²89·Ö£©

Èý¡¢¼ò´ðÌ⣺±¾Ìâ·Ö±Ø×öÌ⣨µÚlO¡¢11Ìâ)ºÍÑ¡×öÌâ(µÚ12Ìâ)Á½²¿·Ö£¬¹²¼Æ42·Ö£®Ç뽫½â´ðÌîдÔÚ´ðÌ⿨ÏàÓ¦µÄλÖã®

±Ø×öÌâ

10£®²â¶¨Ä¾¿éÓ볤ľ°åÖ®¼äµÄ¶¯Ä¦²ÁÒòÊýʱ£¬²ÉÓÃÈçͼËùʾµÄ×°Öã¬Í¼Öг¤Ä¾°åˮƽ¹Ì¶¨£®

£¨1£©ÊµÑé¹ý³ÌÖУ¬µç»ð»¨¼ÆÊ±Æ÷Ó¦½ÓÔÚ  ¡ø  £¨Ñ¡Ìî¡°Ö±Á÷¡±»ò¡°½»Á÷¡±£©µçÔ´ÉÏ£®µ÷Õû¶¨»¬Âָ߶ȣ¬Ê¹  ¡ø  £®

£¨2£©ÒÑÖªÖØÁ¦¼ÓËÙ¶ÈΪg£¬²âµÃľ¿éµÄÖÊÁ¿ÎªM£¬íÀÂëÅ̺ÍíÀÂëµÄ×ÜÖÊÁ¿Îªm£¬Ä¾¿éµÄ¼ÓËÙ¶ÈΪa£¬Ôòľ¿éÓ볤ľ°å¼ä¶¯Ä¦²ÁÒòÊý¦Ì=  ¡ø  £®

£¨3£©ÈçͼΪľ¿éÔÚˮƽľ°åÉÏ´ø¶¯Ö½´øÔ˶¯´ò³öµÄÒ»ÌõÖ½´øµÄÒ»²¿·Ö£¬0¡¢1¡¢2¡¢3¡¢4¡¢5¡¢6Ϊ¼ÆÊýµã£¬ÏàÁÚÁ½¼ÆÊýµã¼ä»¹ÓÐ4¸ö´òµãδ»­³ö£®´ÓÖ½´øÉϲâ³öx1=3.20cm£¬x2=4.52cm£¬x5=8.42cm£¬x6=9.70cm£®Ôòľ¿é¼ÓËÙ¶È´óСa=  ¡ø  m/s2(±£ÁôÁ½Î»ÓÐЧÊý×Ö)£®

 


11£®ÎªÁ˲âÁ¿Ä³µç³ØµÄµç¶¯ÊÆ E£¨Ô¼Îª3V£©ºÍÄÚ×è r£¬¿É¹©Ñ¡ÔñµÄÆ÷²ÄÈçÏ£º

A£®µçÁ÷±íG1£¨2mA  100¦¸£©             B£®µçÁ÷±íG2£¨1mA  ÄÚ×èδ֪£©

C£®µç×èÏäR1£¨0~999.9¦¸£©                      D£®µç×èÏäR2£¨0~9999¦¸£©

E£®»¬¶¯±ä×èÆ÷R3£¨0~10¦¸  1A£©         F£®»¬¶¯±ä×èÆ÷R4£¨0~1000¦¸  10mA£©

G£®¶¨Öµµç×èR0£¨800¦¸  0.1A£©               H£®´ý²âµç³Ø

I£®µ¼Ïß¡¢µç¼üÈô¸É

£¨1£©²ÉÓÃÈçͼ¼×ËùʾµÄµç·£¬²â¶¨µçÁ÷±íG2µÄÄÚ×裬µÃµ½µçÁ÷±íG1µÄʾÊýI1¡¢µçÁ÷±íG2µÄʾÊýI2ÈçϱíËùʾ£º

I1£¨mA£©

0.40

0.81

1.20

1.59

2.00

I2£¨mA£©

0.20

0.40

0.60

0.80

1.00

 


¸ù¾Ý²âÁ¿Êý¾Ý£¬ÇëÔÚͼÒÒ×ø±êÖÐÃèµã×÷³öI1¡ªI2ͼÏߣ®ÓÉͼµÃµ½µçÁ÷±íG2µÄÄÚ×èµÈÓÚ

  ¡ø  ¦¸£®

£¨2£©ÔÚÏÖÓÐÆ÷²ÄµÄÌõ¼þÏ£¬²âÁ¿¸Ãµç³Øµç¶¯ÊƺÍÄÚ×裬²ÉÓÃÈçͼ±ûËùʾµÄµç·£¬Í¼Ö묶¯±ä×èÆ÷¢ÙÓ¦¸ÃÑ¡Óøø¶¨µÄÆ÷²ÄÖР ¡ø  £¬µç×èÏä¢ÚÑ¡  ¡ø  £¨¾ùÌîдÆ÷²Ä´úºÅ£©£®

£¨3£©¸ù¾Ýͼ±ûËùʾµç·£¬ÇëÔÚ¶¡Í¼ÖÐÓñʻ­Ïß´úÌæµ¼Ïߣ¬Íê³ÉʵÎïµç·µÄÁ¬½Ó£®

 


12£®Ñ¡×öÌâ(Çë´ÓA¡¢BºÍCÈýСÌâÖÐÑ¡¶¨Á½Ð¡Ìâ×÷´ð£¬²¢ÔÚ´ðÌ⿨ÉϰÑËùÑ¡ÌâÄ¿¶ÔÓ¦×ÖĸºóµÄ·½¿òÍ¿ÂúÍ¿ºÚ£®Èç¶¼×÷´ð£¬Ôò°´A¡¢BÁ½Ð¡ÌâÆÀ·Ö£®)

A£®(Ñ¡ÐÞÄ£¿é3-3)(12·Ö)

£¨1£©ÏÂÁÐ˵·¨ÖÐÕýÈ·µÄÊÇ  ¡ø 

A£®ÒºÌå±íÃæ²ã·Ö×Ó¼ä¾àÀë´óÓÚÒºÌåÄÚ²¿·Ö×Ó¼ä¾àÀ룬ҺÌå±íÃæ´æÔÚÕÅÁ¦

B£®À©É¢Ô˶¯¾ÍÊDz¼ÀÊÔ˶¯

C£®ÕáÌÇÊܳ±ºó»áÕ³ÔÚÒ»Æð£¬Ã»ÓÐÈ·¶¨µÄ¼¸ºÎÐÎ×´£¬ËüÊǷǾ§Ìå

D£®¶ÔÈκÎÒ»ÀàÓëÈÈÏÖÏóÓйصĺê¹Û×ÔÈ»¹ý³Ì½øÐз½ÏòµÄ˵Ã÷£¬¶¼¿ÉÒÔ×÷ΪÈÈÁ¦Ñ§µÚ¶þ¶¨ÂɵıíÊö

£¨2£©½«1mlµÄ´¿ÓÍËá¼Óµ½500mlµÄ¾Æ¾«ÖУ¬´ý¾ùÔÈÈܽâºó£¬ÓõιÜÈ¡1mlÓÍËá¾Æ¾«ÈÜÒº£¬ÈÃÆä×ÔÈ»µÎ³ö£¬¹²200µÎ£®ÏÖÔÚÈÃÆäÖÐÒ»µÎÂ䵽ʢˮµÄdzÅÌÄÚ£¬´ýÓÍĤ³ä·ÖÕ¹¿ªºó£¬²âµÃÓÍĤµÄÃæ»ýΪ200cm2£¬Ôò¹ÀËãÓÍËá·Ö×ӵĴóСÊÇ  ¡ø  m£¨±£ÁôһλÓÐЧÊý×Ö£©£®

£¨3£©ÈçͼËùʾ£¬Ò»Ö±Á¢µÄÆû¸×ÓÃÒ»ÖÊÁ¿ÎªmµÄ»îÈû·â±ÕÒ»¶¨Á¿µÄÀíÏëÆøÌ壬»îÈûºá½ØÃæ»ýΪS£¬Æû¸×Äڱڹ⻬ÇҸױÚÊǵ¼Èȵģ¬¿ªÊ¼»îÈû±»¹Ì¶¨£¬´ò¿ª¹Ì¶¨ÂÝ˨K£¬»îÈûÏÂÂ䣬¾­¹ý×ã¹»³¤Ê±¼äºó£¬»îÈûÍ£ÔÚBµã£¬ÒÑÖªAB=h£¬´óÆøÑ¹Ç¿Îªp0£¬ÖØÁ¦¼ÓËÙ¶ÈΪg£®

¢ÙÇó»îÈûÍ£ÔÚBµãʱ¸×ÄÚ·â±ÕÆøÌåµÄѹǿ£»

¢ÚÉèÖÜΧ»·¾³Î¶ȱ£³Ö²»±ä£¬ÇóÕû¸ö¹ý³ÌÖÐͨ¹ý¸×±Ú´«µÝµÄÈÈÁ¿Q£¨Ò»¶¨Á¿ÀíÏëÆøÌåµÄÄÚÄܽöÓÉζȾö¶¨£©£®

B£®(Ñ¡ÐÞÄ£¿é3-4)(12·Ö)

£¨1£©ÏÂÁÐ˵·¨ÖÐÕýÈ·µÄÊÇ  ¡ø 

A£®ÕÕÏà»ú¡¢ÉãÓ°»ú¾µÍ·±íÃæÍ¿ÓÐÔö͸Ĥ£¬ÀûÓÃÁ˹âµÄ¸ÉÉæÔ­Àí

B£®¹âÕÕÉäÕÚµ²ÎïÐγɵÄÓ°ÂÖÀªÄ£ºý£¬ÊǹâµÄÑÜÉäÏÖÏó

C£®Ì«Ñô¹âÊÇÆ«Õñ¹â

D£®ÎªÁËÓÐЧµØ·¢Éäµç´Å²¨£¬Ó¦¸Ã²ÉÓ󤲨·¢Éä

£¨2£©¼×¡¢ÒÒÁ½ÈËÕ¾ÔÚµØÃæÉÏʱÉí¸ß¶¼ÊÇL0, ¼×¡¢ÒÒ·Ö±ð³Ë×øËÙ¶ÈΪ0.6cºÍ0.8c£¨cΪ¹âËÙ£©µÄ·É´¬Í¬ÏòÔ˶¯£¬ÈçͼËùʾ£®´ËʱÒҹ۲쵽¼×µÄÉí¸ßL  ¡ø  L0£»Èô¼×ÏòÒÒ»ÓÊÖ£¬¶¯×÷ʱ¼äΪt0£¬Òҹ۲쵽¼×¶¯×÷ʱ¼äΪt1£¬Ôòt1  ¡ø  t0£¨¾ùÑ¡Ìî¡°>¡±¡¢¡° =¡± »ò¡°<¡±£©£®

£¨3£©x=0µÄÖʵãÔÚt=0ʱ¿Ì¿ªÊ¼Õñ¶¯£¬²úÉúµÄ²¨ÑØxÖáÕý·½Ïò´«²¥£¬t1=0.14sʱ¿Ì²¨µÄͼÏóÈçͼËùʾ£¬ÖʵãA¸ÕºÃ¿ªÊ¼Õñ¶¯£®

¢ÙÇó²¨ÔÚ½éÖÊÖеĴ«²¥ËÙ¶È£»

¢ÚÇóx=4mµÄÖʵãÔÚ0.14sÄÚÔ˶¯µÄ·³Ì£®

   C£®(Ñ¡ÐÞÄ£¿é3-5)(12·Ö)

£¨1£©ÏÂÁÐ˵·¨ÖÐÕýÈ·µÄÊÇ  ¡ø 

A£®¿µÆÕ¶ÙЧӦ½øÒ»²½Ö¤ÊµÁ˹âµÄ²¨¶¯ÌØÐÔ

B£®ÎªÁ˽âÊͺÚÌå·øÉ乿ÂÉ£¬ÆÕÀÊ¿ËÌá³öµç´Å·øÉäµÄÄÜÁ¿ÊÇÁ¿×Ó»¯µÄ

C£®¾­µäÎïÀíѧ²»ÄܽâÊÍÔ­×ÓµÄÎȶ¨ÐÔºÍÔ­×Ó¹âÆ×µÄ·ÖÁ¢ÌØÕ÷

D£®ÌìÈ»·ÅÉäÐÔÔªËØË¥±äµÄ¿ìÂýÓ뻯ѧ¡¢ÎïÀí״̬ÓйØ

£¨2£©ÊDz»Îȶ¨µÄ£¬ÄÜ×Ô·¢µÄ·¢ÉúË¥±ä£®

¢ÙÍê³ÉË¥±ä·´Ó¦·½³Ì    ¡ø  £®

¢ÚË¥±äΪ£¬¾­¹ý  ¡ø  ´Î¦ÁË¥±ä£¬  ¡ø  ´Î¦ÂË¥±ä£®

£¨3£©1919Ä꣬¬ɪ¸£ÓæÁÁ£×Óºä»÷µªºË·¢ÏÖÖÊ×Ó£®¿ÆÑ§Ñо¿±íÃ÷ÆäºË·´Ó¦¹ý³ÌÊÇ£º¦ÁÁ£×Óºä»÷¾²Ö¹µÄµªºËºóÐγÉÁ˲»Îȶ¨µÄ¸´ºË£¬¸´ºË·¢ÉúË¥±ä·Å³öÖÊ×Ó£¬±ä³ÉÑõºË£®Éè¦ÁÁ£×ÓÖÊÁ¿Îªm1£¬³õËÙ¶ÈΪv0£¬µªºËÖÊÁ¿Îªm2£¬ÖÊ×ÓÖÊÁ¿Îªm0, ÑõºËµÄÖÊÁ¿Îªm3£¬²»¿¼ÂÇÏà¶ÔÂÛЧӦ£®

¢Ù¦ÁÁ£×Óºä»÷µªºËÐγɲ»Îȶ¨¸´ºËµÄ˲¼ä£¬¸´ºËµÄËÙ¶ÈΪ¶à´ó£¿

¢ÚÇó´Ë¹ý³ÌÖÐÊͷŵĺËÄÜ£®

ËÄ¡¢¼ÆËãÌ⣺±¾Ìâ¹²3СÌ⣬¹²¼Æ47·Ö£®½â´ðʱÇëд³ö±ØÒªµÄÎÄ×Ö˵Ã÷¡¢·½³ÌʽºÍÖØÒªµÄÑÝËã²½Ö裬ֻд³ö×îºó´ð°¸µÄ²»Äܵ÷֣¬ÓÐÊýÖµ¼ÆËãµÄÌ⣬´ð°¸ÖбØÐëÃ÷ȷд³öÊýÖµºÍµ¥Î»£®

13£®ÈçͼËùʾ£¬Ò»ÖÊÁ¿ÎªmµÄÇâÆøÇòÓÃϸÉþË©ÔÚµØÃæÉÏ£¬µØÃæÉϿշçËÙˮƽÇÒºãΪv0£¬Çò¾²Ö¹Ê±ÉþÓëˮƽ·½Ïò¼Ð½ÇΪ¦Á£®Ä³Ê±¿ÌÉþͻȻ¶ÏÁÑ£¬ÇâÆøÇò·É×ߣ®ÒÑÖªÇâÆøÇòÔÚ¿ÕÆøÖÐÔ˶¯Ê±ËùÊܵ½µÄ×èÁ¦fÕý±ÈÓÚÆäÏà¶Ô¿ÕÆøµÄËÙ¶Èv£¬¿ÉÒÔ±íʾΪf=kv£¨kΪÒÑÖªµÄ³£Êý£©£®Ôò

£¨1£©ÇâÆøÇòÊܵ½µÄ¸¡Á¦Îª¶à´ó£¿

£¨2£©Éþ¶ÏÁÑ˲¼ä£¬ÇâÆøÇò¼ÓËÙ¶ÈΪ¶à´ó£¿

£¨3£©Ò»¶Îʱ¼äºóÇâÆøÇòÔÚ¿ÕÖÐ×öÔÈËÙÖ±ÏßÔ˶¯£¬Æäˮƽ·½ÏòÉϵÄËÙ¶ÈÓë·çËÙv0ÏàµÈ£¬Çó´ËÊ±ÆøÇòËÙ¶È´óС£¨Éè¿ÕÆøÃܶȲ»·¢Éú±ä»¯£¬ÖØÁ¦¼ÓËÙ¶ÈΪg£©£®

 


14£®ÈçͼËùʾ£¬¹â»¬¾øÔµË®Æ½ÃæÉÏ·ÅÖÃÒ»¾ùÔȵ¼ÌåÖÆ³ÉµÄÕý·½ÐÎÏß¿òabcd£¬Ïß¿òÖÊÁ¿Îªm£¬µç×èΪR£¬±ß³¤ÎªL£®ÓÐÒ»·½ÏòÊúÖ±ÏòϵÄÓнç´Å³¡£¬´Å³¡µÄ´Å¸ÐӦǿ¶ÈΪB£¬´Å³¡Çø¿í¶È´óÓÚL£¬×ó±ß½çÓëab±ßƽÐУ®Ïß¿òÔÚˮƽÏòÓÒµÄÀ­Á¦×÷ÓÃÏ´¹Ö±Óڱ߽çÏß´©¹ý´Å³¡Çø£®

£¨1£©ÈôÏß¿òÒÔËÙ¶ÈvÔÈËÙ´©¹ý´Å³¡Çø£¬ÇóÏß¿òÔÚÀ뿪´Å³¡Ê±abÁ½µã¼äµÄµçÊÆ²î£»

£¨2£©ÈôÏß¿ò´Ó¾²Ö¹¿ªÊ¼ÒԺ㶨µÄ¼ÓËÙ¶ÈaÔ˶¯£¬¾­¹ýt1ʱ¼äab±ß¿ªÊ¼½øÈë´Å³¡£¬Çócd±ß½«Òª½øÈë´Å³¡Ê±¿Ì»ØÂ·µÄµç¹¦ÂÊ£»

£¨3£©ÈôÏß¿òÒÔ³õËÙ¶Èv0½øÈë´Å³¡£¬ÇÒÀ­Á¦µÄ¹¦ÂʺãΪP0£®¾­¹ýʱ¼äT£¬cd±ß½øÈë´Å³¡£¬´Ë¹ý³ÌÖлØÂ·²úÉúµÄµçÈÈΪQ£®ºóÀ´ab±ß¸Õ´©³ö´Å³¡Ê±£¬Ïß¿òËÙ¶ÈҲΪv0£¬ÇóÏß¿ò´©¹ý´Å³¡ËùÓõÄʱ¼ät£®

      

15£®ÈçͼËùʾ£¬ÓнçÔÈÇ¿´Å³¡µÄ´Å¸ÐӦǿ¶ÈΪB£¬·½Ïò´¹Ö±Ö½ÃæÏòÀMNΪÆä×ó±ß½ç£¬´Å³¡ÖзÅÖÃÒ»°ë¾¶ÎªRµÄÔ²ÖùÐνðÊôԲͲ£¬Ô²ÐÄOµ½MNµÄ¾àÀëOO1=2R£¬Ô²Í²ÖáÏßÓë´Å³¡Æ½ÐУ®Ô²Í²Óõ¼Ïßͨ¹ýÒ»¸öµç×èr0½ÓµØ£¬×î³õ½ðÊôԲͲ²»´øµç£®ÏÖÓз¶Î§×ã¹»´óµÄƽÐеç×ÓÊøÒÔËÙ¶Èv0´ÓºÜÔ¶´¦ÑØ´¹Ö±ÓÚ×ó±ß½çMNÏòÓÒÉäÈë´Å³¡Çø£¬ÒÑÖªµç×ÓÖÊÁ¿Îªm£¬µçÁ¿Îªe£®

£¨1£©Èôµç×Ó³õËÙ¶ÈÂú×㣬ÔòÔÚ×î³õԲͲÉÏûÓдøµçʱ£¬Äܹ»´òµ½Ô²Í²Éϵĵç×Ó¶ÔÓ¦MN±ß½çÉÏO1Á½²àµÄ·¶Î§ÊǶà´ó£¿

£¨2£©µ±Ô²Í²ÉϵçÁ¿´ïµ½Ïà¶ÔÎȶ¨Ê±£¬²âÁ¿µÃµ½Í¨¹ýµç×èr0µÄµçÁ÷ºãΪI£¬ºöÂÔÔ˶¯µç×Ó¼äµÄÏ໥×÷Óã¬Çó´Ëʱ½ðÊôԲͲµÄµçÊÆ¦ÕºÍµç×Óµ½´ïԲͲʱËÙ¶Èv£¨È¡ÎÞÇîÔ¶´¦»ò´óµØµçÊÆÎªÁ㣩£®

£¨3£©ÔÚ£¨2£©µÄÇé¿öÏ£¬Çó½ðÊôԲͲµÄ·¢Èȹ¦ÂÊ£®

 


Î¥·¨ºÍ²»Á¼ÐÅÏ¢¾Ù±¨µç»°£º027-86699610 ¾Ù±¨ÓÊÏ䣺58377363@163.com

¾«Ó¢¼Ò½ÌÍø