题目内容

质量为0.01 kg的子弹以300 m/s的水平速度射中一静止在光滑水平面上的木块,子弹进入木块6 cm而相对于木块静止下来.在这过程中,木块往前移动了0.2 cm.

求:(1)木块的末速度;

(2)木块的质量

答案:
解析:

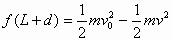
  解析:以子弹和木块为系统,相对静止时共同速度为V由动量守恒 ①

  子弹与木块相对静止时,木块滑动的位移为L,子弹相对地面发生的位移为L+d,对子弹和木块分别利用动能定理: ②

   ③

  由以上三式可解得V=10 m/S M=0.29 Kg


练习册系列答案
相关题目

违法和不良信息举报电话:027-86699610 举报邮箱:58377363@163.com

精英家教网