题目内容

如图所示,光滑水平面上钉两个钉子A和B,相距为20cm,用长度为1m的细绳,一端系一只质量为0.4kg的小球,另一端固定在钉子A上.开始时小球与钉子A、B均在同一直线上,然后使小球以2m/s的速度开始在水平面上做匀速圆周运动,若绳子能承受的最大张力是4N,那么从开始到绳断所经历的时间多长?

答案:略
解析:

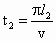
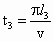
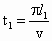
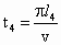
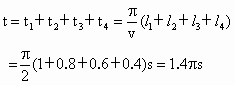
可知,随着r减小,F增大.当F=4N时,最小半径.若半径小于0.4m,则绳的拉力将大于4N,绳被拉断.而小球每转半周其半径减小0.2m,故小球的半径依次为,所用时间依次为;运动的总时间为

  小球开始在水平面上做匀速圆周运动,当绳碰到B后,小球做匀速圆周运动的半径减小,由于小球在切线方向不受力,因此小球的线速度不变.根据可知,当r减小时,F增大,随着绳子在AB上缠绕,r越来越小,F越来越大.当F超出所能承受的最大极限时,绳就会断裂,因此应先求出绳子张力达到最大值时对应的最小半径.小球每运动半周,其圆心改变一次,半径减小0.2m,分析小球由r=1m所转过的圈数,由线速度定义式即可求出运动的最长时间.

  小球做匀速圆周运动时,由于AB钉子的存在,小球的运动半径不断减小,但小球做圆周运动的线速度大小不变,仍然做圆周运动,认识到这一点是解答本题的关键.另外本题运用逆推的方法,求出小球运动所需的时间,这种运用数学方法处理物理问题的能力也是高考要求的能力之一,必须具备.


练习册系列答案
相关题目

违法和不良信息举报电话:027-86699610 举报邮箱:58377363@163.com

精英家教网