ÌâÄ¿ÄÚÈÝ
ÔÚˮƽ×ÀÃæÉÏÑØÒ»ÌõÖ±Ïß·ÅÁ½¸öÍêÈ«ÏàͬµÄСÎï¿éAºÍB£¨¿É¿´×÷Öʵ㣩ÖÊÁ¿¾ùΪm£¬ËüÃÇÏà¾às£®Bµ½×À±ßµÄ¾àÀëÊÇ2s£®¶ÔAÊ©ÒÔ˲¼äˮƽ³åÁ¿I£¬Ê¹AÑØA¡¢BÁ¬ÏßÒÔËÙ¶ÈvÏòBÔ˶¯£®ÉèÁ½ÎïÌåÅöײʱ¼äºÜ¶Ì£¬Åöºó²»ÔÙ·ÖÀ룮ΪʹÁ½ÎïÌåÄÜ·¢ÉúÅöײ£¬ÇÒÅöײºóÓÖ²»»áÀ뿪×ÀÃæ£¬Ç󣺣¨1£©ÎïÌåA¡¢BÓëË®Æ½Ãæ¼äµÄ¶¯Ä¦²ÁÒòÊý¦ÌÓ¦Âú×ãʲôÌõ¼þ£®
£¨2£©Èô
¡¾´ð°¸¡¿·ÖÎö£º£¨1£©ÎªÁËÄÜ·¢ÉúÅöײ£¬AµÄ³õ¶¯ÄÜ´óÓÚ»¬ÐÐs¹ý³Ì¿Ë·þ×èÁ¦×ö¹¦£»Åöײ¹ý³ÌA¡¢Bϵͳ¶¯Á¿Êغ㣬Åöºóϵͳ×ܶ¯ÄÜСÓÚ»¬ÐÐ2s¹ý³Ì¿Ë·þ×èÁ¦×öµÄ¹¦£®¸ù¾Ý¶¯Äܶ¨ÀíÁгö±í´ïʽÇó½â£®
£¨2£©¸ù¾Ý¶¯Äܶ¨ÀíÇó³öÅöײǰµÄ¶¯ÄÜ£¬¸ù¾Ý¶¯Á¿Êغ㶨ÂÉÇó³öÅöײºóµÄËÙ¶È£¬´Ó¶øµÃ³öϵͳËðʧµÄ¶¯ÄÜ£®¶ÔϵͳÔËÓö¯Äܶ¨Àí£¬Çó³öA¡¢BÍ£Ö¹Ô˶¯Ê±£¬µ½×ÀÃæÓÒ±ßÔµµÄ¾àÀ룮
½â´ð£º½â£º£¨1£©ÈôÒª·¢ÉúÅöײ£¬ÔòAÅöµ½BʱËÙ¶È´óÓÚÁ㣬¸ù¾Ý¶¯Äܶ¨ÀíµÃ£¬

½âµÃ
Åöºóϵͳ×ܶ¯ÄÜСÓÚ»¬ÐÐ2s¹ý³Ì¿Ë·þ×èÁ¦×öµÄ¹¦£¬ÉèÅöºóµÄËÙ¶ÈΪv£¬¸ù¾Ý¶¯Äܶ¨ÀíµÃ£¬
-2¦Ìmg?2s=
Åöײǰ£¬¸ù¾Ý¶¯Äܶ¨ÀíµÃ£¬

Åöײ¹ý³ÌÖж¯Á¿Êغ㣬ÓÐmv¡ä=2mv
ÁªÁ¢Èýʽ½âµÃ£¬
ËùÒÔ
¡Ü¦Ì£¼
£®
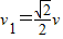
£¨2£©Èô
£¬¸ù¾Ý¶¯Äܶ¨ÀíµÃ£¬
½âµÃ
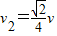
¸ù¾Ý¶¯Á¿ÊغãµÃ£¬mv1=2mv2
ËùÒÔ
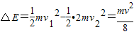
A¡¢BÅöײ¹ý³ÌϵͳËðʧµÄ¶¯ÄÜ
£®
¶ÔÅöײºóϵͳÔËÓö¯Äܶ¨ÀíµÃ£¬-2¦Ìmg?s¡å=
½âµÃs¡å=
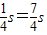
Ôòµ½×ÀÃæÓÒ±ßÔµµÄ¾àÀës¡ä=2s-
£®
¹ÊA¡¢BÅöײ¹ý³ÌϵͳËðʧµÄ¶¯ÄÜÊÇ
£¬A¡¢BÍ£Ö¹Ô˶¯Ê±£¬µ½×ÀÃæÓÒ±ßÔµµÄ¾àÀës¡äÊÇ
£®
µãÆÀ£ºÔËÓö¯Äܶ¨Àí½âÌâҪѡÔñºÏÊʵÄÑо¿¶ÔÏ󣬺ÏÊʵÄÑо¿¹ý³Ì£¬È·¶¨ÔÚÑо¿µÄ¹ý³ÌÖÐÓÐÄÄЩÁ¦×ö¹¦£¬È»ºó¸ù¾Ý¶¯Äܶ¨ÀíÁбí´ïʽÇó½â£®
£¨2£©¸ù¾Ý¶¯Äܶ¨ÀíÇó³öÅöײǰµÄ¶¯ÄÜ£¬¸ù¾Ý¶¯Á¿Êغ㶨ÂÉÇó³öÅöײºóµÄËÙ¶È£¬´Ó¶øµÃ³öϵͳËðʧµÄ¶¯ÄÜ£®¶ÔϵͳÔËÓö¯Äܶ¨Àí£¬Çó³öA¡¢BÍ£Ö¹Ô˶¯Ê±£¬µ½×ÀÃæÓÒ±ßÔµµÄ¾àÀ룮
½â´ð£º½â£º£¨1£©ÈôÒª·¢ÉúÅöײ£¬ÔòAÅöµ½BʱËÙ¶È´óÓÚÁ㣬¸ù¾Ý¶¯Äܶ¨ÀíµÃ£¬
½âµÃ
Åöºóϵͳ×ܶ¯ÄÜСÓÚ»¬ÐÐ2s¹ý³Ì¿Ë·þ×èÁ¦×öµÄ¹¦£¬ÉèÅöºóµÄËÙ¶ÈΪv£¬¸ù¾Ý¶¯Äܶ¨ÀíµÃ£¬
-2¦Ìmg?2s=
Åöײǰ£¬¸ù¾Ý¶¯Äܶ¨ÀíµÃ£¬
Åöײ¹ý³ÌÖж¯Á¿Êغ㣬ÓÐmv¡ä=2mv
ÁªÁ¢Èýʽ½âµÃ£¬
ËùÒÔ
£¨2£©Èô
½âµÃ
¸ù¾Ý¶¯Á¿ÊغãµÃ£¬mv1=2mv2
ËùÒÔ
A¡¢BÅöײ¹ý³ÌϵͳËðʧµÄ¶¯ÄÜ
¶ÔÅöײºóϵͳÔËÓö¯Äܶ¨ÀíµÃ£¬-2¦Ìmg?s¡å=
½âµÃs¡å=
Ôòµ½×ÀÃæÓÒ±ßÔµµÄ¾àÀës¡ä=2s-
¹ÊA¡¢BÅöײ¹ý³ÌϵͳËðʧµÄ¶¯ÄÜÊÇ
µãÆÀ£ºÔËÓö¯Äܶ¨Àí½âÌâҪѡÔñºÏÊʵÄÑо¿¶ÔÏ󣬺ÏÊʵÄÑо¿¹ý³Ì£¬È·¶¨ÔÚÑо¿µÄ¹ý³ÌÖÐÓÐÄÄЩÁ¦×ö¹¦£¬È»ºó¸ù¾Ý¶¯Äܶ¨ÀíÁбí´ïʽÇó½â£®
Á·Ï°²áϵÁдð°¸
Ïà¹ØÌâÄ¿
| A¡¢µç×èRÖеĸÐÓ¦µçÁ÷·½ÏòÓÉcµ½a | ||
| B¡¢ÎïÌåÏÂÂäµÄ×î´ó¼ÓËÙ¶ÈΪg | ||
C¡¢Èôh×ã¹»´ó£¬ÎïÌåÏÂÂäµÄ×î´óËÙ¶ÈΪ
| ||
D¡¢Í¨¹ýµç×èRµÄµçÁ¿Îª
|