题目内容

民族运动会上有一个骑射项目,运动员骑在奔驶的马背上,弯弓放箭射击侧向的固定目标。假设运动员骑马奔驰的速度为v1,运动员静止时射出的弓箭速度为v2。跑道离固定目标的最近距离为d。要想在最短的时间内射中目标,则运动员放箭处离目标的距离应该为(       )

A.       B.      C.             D.

 

【答案】

B

【解析】

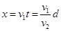
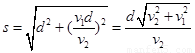
试题分析:当放出的箭垂直于马运行方向发射,此时运行时间最短,所以最短时间,则箭在沿马运行方向上的位移为,所以放箭处距离目标的距离为

故选B

考点:运动的合成和分解

点评:箭参与了沿马运行方向上的匀速直线运动和垂直于马运行方向上的匀速直线运动,箭的实际运动时两个运动的合运动。

 

练习册系列答案
相关题目

违法和不良信息举报电话:027-86699610 举报邮箱:58377363@163.com

精英家教网