题目内容
如图所不,一质量为m=50kg的滑块,以vo=_10m/s的初速度从左端冲上静止在光滑水平地面上的长为L=8m的平板车,滑块与车间的动摩擦因数为“
=0.3,平板车质量为M=150kg。求:
![]()
(1)滑块冲上小车后小车运动的加速度和滑块滑离小车时,车的速度。
(2)滑块在小车上相对滑动的时间内,摩擦力对小车做的功是多少?
【答案】
(1)a=1m/s2 v=1m/s;(2)75J
【解析】
试题分析:(1)滑块在水平方向上,只受车对的滑动摩擦力的作用,对滑块 μmg=ma1解得a1=3m/s2,
车在水平方向上,只受滑块对的滑动摩擦力的作用,对平板车,μmg=Ma2,解得a2=1m/s2
设经过时间t滑块从车上滑下,此时滑块的速度v1,小车的速度v2
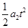
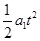
由匀变速直线规律:v0t-
-
=L,解得,t1=1s;t2=4s(舍去)
由速度公式 v1=v0-a1t=7m/s;v2=a2t=1m/s,因为v1>v2所以滑块可以从车上滑离。此时车的速度v2=1m/s。
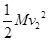
(2)由动能定理,摩擦力对小车做的功Wf=
=75J
考点:牛顿第二定律;匀变速直线运动的速度与时间的关系;匀变速直线运动的位移与时间的关系.
练习册系列答案
相关题目
| A、斜面体不受地面的摩擦力 | ||
| B、斜面体受地面的摩擦力的方向向左 | ||
| C、斜面体受地面的摩擦力的方向向右 | ||
D、斜面体受地面的摩擦力的大小为
|