题目内容
如图所示在光滑水平Oxy平面的ABCD区域内,小球在区域ABEO和MNCD水平方向均仅受到大小皆为F的水平恒力,在ABEO区域F力的方向沿X轴负方向,在MNCD区域F力的方向沿y轴负方向,在中间的DENM区域不受任何水平力的作用.两恒力区域的边界均是边长为L的正方形,即AO=OM=MD=DC=L,如图所示.
![]()
(1)在该区域AB边的中点处由静止释放一小球,求小球离开ABCD区域的位置坐标.
(2)在ABEO区域内适当位置由静止释放小球,小球恰能从ABCD区域左下角D处(即X轴上X=﹣2L处)离开,求所有释放点的位置坐标满足的关系.
【答案】
(1)P(﹣2L,
)(2)
.
【解析】
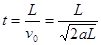
试题分析:(1)在ABEO中加速,有![]()
在MNDC中,L=v0t
![]()
则偏转位移![]()
得P(﹣2L,
)
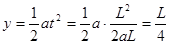
(2)设释放点的坐标为(x,y)
![]()
L=v0t
则:![]()
考点:匀变速运动的规律及平抛运动的规律。
练习册系列答案
相关题目
A、tan2α=
| ||
B、tanα=
| ||
| C、Q1<Q2 | ||
| D、O点的场强方向沿A指向B |