题目内容
如图所示,小球沿斜面向上运动, 依次经a、b、c、d到达最高点e.已知ab=bd=8m,
bc=2m,小球从a到c和从c到d所用的时间都是2s, 则( )
![]()
A.a=-1m/s2
B.vc=4m/s
C.de=2m
D.从d到e所用时间为3s
【答案】
ABC
【解析】
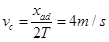
试题分析:c到d和a到c的位移差为-4m,根据Δx=aT2可求加速度a=-1m/s2,A正确;设时间间隔T=2s,C点是ad过程的中间时刻,则
,B正确;根据
可求ce间的距离为8m,
则de=2m,C正确;根据
:
可求d点的速度vd =2m/s,可求从d到e所用的时间为2s,D错误。
考点:本题考查匀变速直线运动的规律。
练习册系列答案
相关题目
如图所示, 小球沿斜面向上运动, 依次经a、b、c、d到达最高点e。已知ab =" bd" ="6" m, bc="1" m, 小球从a到c和从c到d 所用的时间都是2 s, 设小球经b、c时的速度分别为vb、vc,,则下列哪个选项不正确( ) ![]()
| A. | B. |
| C.de =" 3" m | D.从d到e所用时间为4 s |