题目内容

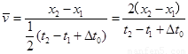
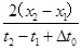
如图甲所示是一种速度传感器的工作原理图,在这个系统中B为一个能发射超声波的固定小盒子,工作时小盒子B向被测物体发出短暂的超声波脉冲,脉冲被运动的物体反射后又被B盒接收,从B盒发射超声波开始计时,经时间Δt0再次发射超声波脉冲,图乙是连续两次发射的超声波的位移—时间图象,则超声波的速度为        物体的平均速度为          

 

 

【答案】

  

【解析】

试题分析:(1)小盒子B向被测物体发出短暂的超声波脉冲后,经过t1时间到达被测物体并被反射折回,再经过t1时间回到小盒子B,在该过程中,超声波经过的路程为2x1,所以超声波的速度为v;被测物体在t1时刻第一次接收到超声波,在Δt0(t2-Δt0)即(t2+Δt0)时刻第二次接收到超声波,该过程中被测物体发生的位移为x2-x1,所用时间为,所以物体的平均速度为

考点:超声波测速 运动学公式

 

练习册系列答案
相关题目

违法和不良信息举报电话:027-86699610 举报邮箱:58377363@163.com

精英家教网