题目内容
(1)碰前球的速度是多大;
(2)A,B两球的质量分别为多少;
(3)请指出A球带什么电性?并计箅A球所带电量为多少?
【答案】分析:(1)从图象知,A球在2s内的位移为20m,根据速度公式求出碰前A球的速度.
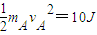
(2)A球碰前动能为10J,根据动能的公式求出A球的质量,碰后系统动能为5J,结合动量守恒定律求出B球的质量.
(3)碰后的结合体在电场中动能增大,知电场力做正功,知A球带正电,根据动能定理求出A球所带的电量.
解答:解:(1)由图乙知,碰前A做匀速运动.
其速度的大小为:
.
(2)由图乙,碰前:
解得mA=0.2kg.
碰后瞬间:
由碰撞时动量守恒mAvA=(mA+mB)vAB
联立解得mB=0.2kg.
(3)由题意分析知,A球带正电.
设A球所带的电量为q,那么在20m≤x≤30m的范围内
由动能定理得:qE△x=△EK
解得:q=
.
答:(1)碰前A球的速度是10m/s.
(2)A,B两球的质量分别为0.2kg,0.2kg.
(3)A球带正电,所带电量为1×10-3C.
点评:本题综合考查了动量守恒定律和动能定理,难度不大,对学生读图的能力要求较高,会从图象中获取信息.
(2)A球碰前动能为10J,根据动能的公式求出A球的质量,碰后系统动能为5J,结合动量守恒定律求出B球的质量.
(3)碰后的结合体在电场中动能增大,知电场力做正功,知A球带正电,根据动能定理求出A球所带的电量.
解答:解:(1)由图乙知,碰前A做匀速运动.
其速度的大小为:
(2)由图乙,碰前:
解得mA=0.2kg.
碰后瞬间:
由碰撞时动量守恒mAvA=(mA+mB)vAB
联立解得mB=0.2kg.
(3)由题意分析知,A球带正电.
设A球所带的电量为q,那么在20m≤x≤30m的范围内
由动能定理得:qE△x=△EK
解得:q=
答:(1)碰前A球的速度是10m/s.
(2)A,B两球的质量分别为0.2kg,0.2kg.
(3)A球带正电,所带电量为1×10-3C.
点评:本题综合考查了动量守恒定律和动能定理,难度不大,对学生读图的能力要求较高,会从图象中获取信息.
练习册系列答案
相关题目