题目内容
已知氢原子的基态能量为E,激发态能量En=A.
B.
C.
D.
【答案】分析:最大波长对应着光子的最小能量,即只要使使氢原子从第一激发态恰好电离即可.根据题意求出第一激发态的能量值,恰好电离时能量为0,然后求解即可.
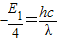
解答:解:第一激发态即第二能级,是能量最低的激发态,则有:
;
电离是氢原子从第一激发态跃迁到最高能级0的过程,需要吸收的光子能量最小为:
所以有:
,解的:
,故ABD错误,C正确.
故选C.
点评:本题主要考察了电离中涉及的氢原子的能级跃迁问题.同时明确光子能量、光速、频率、波长之间关系.
解答:解:第一激发态即第二能级,是能量最低的激发态,则有:
电离是氢原子从第一激发态跃迁到最高能级0的过程,需要吸收的光子能量最小为:
所以有:
故选C.
点评:本题主要考察了电离中涉及的氢原子的能级跃迁问题.同时明确光子能量、光速、频率、波长之间关系.
练习册系列答案
相关题目