题目内容
某一行星有一质量为m的卫星,以半径r,周期T做匀速圆周运动,求:(1)行星的质量;
(2)卫星的加速度;
(3)若测得行星的半径恰好是卫星运行半径的
【答案】分析:(1)由万有引力提供向心力,可以列式求解;
(2)同样由万有引力提供向心力,可以列式求解;
(3)根据行星表面,重力等于万有引力,可以列式求解.
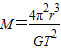
解答:解:(1)设行星的质量为M,由行星对卫星的万有引力提供向心力得
①
解之得

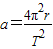
(2)由①式得到卫星的加速度

(3)设行星表面的重力加速度为g,行星半径为R,则行星表面物体的重力等于行星对物体的万有引力,即

由题意
R=0.1r
由以上得

点评:本题关键在于卫星所受的万有引力提供向心力,在行星表面重力等于万有引力.
(2)同样由万有引力提供向心力,可以列式求解;
(3)根据行星表面,重力等于万有引力,可以列式求解.
解答:解:(1)设行星的质量为M,由行星对卫星的万有引力提供向心力得
解之得
(2)由①式得到卫星的加速度
(3)设行星表面的重力加速度为g,行星半径为R,则行星表面物体的重力等于行星对物体的万有引力,即
由题意
R=0.1r
由以上得
点评:本题关键在于卫星所受的万有引力提供向心力,在行星表面重力等于万有引力.
练习册系列答案
相关题目