题目内容

图甲为某同学研究自感现象的实验电路图,用电流传感器显示各时刻通过线圈L的电流.电路中电灯的电阻R1=6.0 Ω,定值电阻R=2.0 Ω,AB间电压U=6.0 V.开关S原来闭合,电路处于稳定状态,在t1=1.0×10-3 s时刻断开开关S,此时刻前后电流传感器显示的电流随时间变化的图线如图乙所示.

(1)求出线圈L的直流电阻RL;

(2)在图甲中用箭头标出断开开关后通过电灯的电流方向;

(3)在t2=1.6×10-3 s时刻线圈L中的感应电动势的大小是多少?

答案:
解析:

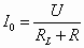
  解:(1)由图读出,开始时流过电感线圈L的电流I0=1.5 A  ①

  由欧姆定律  ②

  解得:  ③

  (2)L1中电流方向向左

  (3)由图读出,t=1.6×10-3 s时刻线圈L的电流I=0.30 A  ④

  线圈L此时是一个电源,由全电路欧姆定律

    ⑤

    ⑥


练习册系列答案
相关题目

违法和不良信息举报电话:027-86699610 举报邮箱:58377363@163.com

精英家教网