ÌâÄ¿ÄÚÈÝ

Èçͼ¼×Ëùʾ£¬ÀíÏë±äѹÆ÷Ô­¡¢¸±ÏßȦµÄÔÑÊý±ÈΪ10£º1£¬bÊÇÔ­ÏßȦµÄÖÐÐijéÍ·£¬Í¼Öеç±í¾ùÔÈΪÀíÏëµÄ½»Á÷µç±í£¬¶¨Öµµç×èR=10¦¸£¬ÆäÓàµç×è¾ù²»¼Æ£¬´Óijʱ¿Ì¿ªÊ¼ÔÚÔ­ÏßȦc£¬dÁ½¶Ë¼ÓÉÏÈçͼÒÒËùʾµÄ½»±äµçѹ£¬ÔòÏÂÁÐ˵·¨ÖÐÕýÈ·µÄÊÇ

A£®µ±µ¥µ¶Ë«ÖÀ¿ª¹ØÓëaÁ¬½Ó£¬µçÁ÷±íµÄʾÊýΪ2.2A

B£®µ±µ¥µ¶Ë«ÖÀ¿ª¹ØÓëaÁ¬½ÓÇÒt=0.01sʱ£¬µçÁ÷±íʾÊýΪÁã

C£®µ±µ¥µ¶Ë«ÖÀ¿ª¹ØÓÉa²¦µ½bʱ£¬Ô­ÏßȦµÄÊäÈ빦ÂʱäΪԭÀ´µÄ4±¶

D£®µ±µ¥µ¶Ë«ÖÀ¿ª¹ØÓÉa²¦µ½bʱ£¬¸±ÏßȦÊä³öµçѹµÄƵÂʱäΪ25Hz

 

¡¾´ð°¸¡¿

AC

¡¾½âÎö¡¿

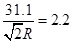
ÊÔÌâ·ÖÎö£ºµ±µ¥µ¶Ë«ÖÀ¿ª¹ØÓëaÁ¬½Óʱ£¬ÓÉÒÒͼ֪ÊäÈëµçѹµÄ·åֵΪ311V£¬ËùÒÔ¸±ÏßȦÁ½¶ËµçѹµÄ·åֵΪ31.1V£¬µçÁ÷±íʾÊýΪÓÐЧֵ£¬¼´ÎªA£¬Ñ¡ÏîAÕýÈ·£»µ±µ¥µ¶Ë«ÖÀ¿ª¹ØÓëaÁ¬½ÓÇÒt=0.01 sʱ£¬ÊäÈëµçѹΪÁ㣬µ«µçÁ÷±íʾÊýÊÇÓÐЧֵ£¬¹Ê²»ÎªÁ㣬ѡÏîB´íÎó£»µ±µ¥µ¶Ë«ÖÀ¿ª¹ØÓÉa²¦Ïòbʱ£¬¸±ÏßȦÁ½¶Ëµçѹ±äΪԭÀ´µÄ2±¶£¬ÓÉ¿ÉÖªÊä³ö¹¦ÂʱäΪԭÀ´µÄ4±¶£¬¹ÊÔ­ÏßȦµÄÊäÈ빦ÂÊÒ²±äΪԭÀ´µÄ4±¶£¬Ñ¡ÏîCÕýÈ·£»ÓÉÒÒͼ֪½»Á÷µçµÄÖÜÆÚΪ0.02s£¬ÆµÂÊΪ50Hz£¬±äѹÆ÷²»¸Ä±äƵÂÊ£¬¹ÊÑ¡ÏîD´íÎ󣻹ʱ¾ÌâÑ¡AC¡£

¿¼µã£º½»±äµçÁ÷£¬±äѹÆ÷µÄÔ­ÀíÓëÌØµã

 

Á·Ï°²áϵÁдð°¸
Ïà¹ØÌâÄ¿

Î¥·¨ºÍ²»Á¼ÐÅÏ¢¾Ù±¨µç»°£º027-86699610 ¾Ù±¨ÓÊÏ䣺58377363@163.com

¾«Ó¢¼Ò½ÌÍø