题目内容

图为一理想变压器,ab为原线圈,ce为副线圈,d为副线圈引出的一个接头。原线圈入正弦式交变电压的u-t图象如题13-2图所示。若只在ce间接一只Rce="400" Ω的电阻,或只在de间接一只Rde="225" Ω的电阻,两种情况下电阻消耗的功率均为80W。

(1)请写出原线圈输入电压瞬时值Uab的表达式;

(2)求只在ce间接400Ω的电阻时,原线圈中的电流I1

(3)求ce和de 间线圈的匝数比

 

【答案】

(1)(2)0.28A(3)

【解析】

试题分析:(1)有题13-2图知,电压瞬时值(V)

(2)电压有效值(V)

理想变压器

原线圈中的电流=0.28A

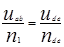
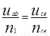
(2)设ab间匝数为,根据变压器规律有

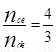
由题意有:,联立可得:

考点:变压器的构造和原理;交流的峰值、有效值以及它们的关系.

点评:掌握原副线圈的电压之比等于匝数比,输入功率等于输出功率,就能顺利解决此题.

 

练习册系列答案
相关题目

违法和不良信息举报电话:027-86699610 举报邮箱:58377363@163.com

精英家教网