题目内容
质量为m的物体在竖直向上的恒力F作用下由静止向上运动了h,速度达到v,这一过程中拉力F做功的功率为(不考虑空气阻力)( )A.Fv
B.(F-mg)v
C.
D.
【答案】分析:考查了对公式P=Fv的理解和应用,公式P=Fv表示的是某一个力的功率,要求F和v同线,若v为平均速度则P为平均功率,若v为瞬时速度则P为瞬时功率.
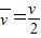
解答:解:由于物体所受外力F和重力均为恒力,因此物体做匀加速直线运动,故其平均速度为:
.
因此拉力F做功的功率为为:
,故选项ABD错误,C正确.
故选C.
点评:在理解和应用物理公式时,一定注意公式的适用条件、各物理量的物理意义,是否矢量等,可以通过适当的练习加深理解.
解答:解:由于物体所受外力F和重力均为恒力,因此物体做匀加速直线运动,故其平均速度为:
因此拉力F做功的功率为为:
故选C.
点评:在理解和应用物理公式时,一定注意公式的适用条件、各物理量的物理意义,是否矢量等,可以通过适当的练习加深理解.
练习册系列答案
相关题目