题目内容
将物体以v的速度水平抛出,物体下落过程中所受空气阻力忽略不计.当其竖直分位移与水平分位移大小相等时,下列说法中正确的是( )A.物体的竖直分速度与水平分速度大小相等
B.物体的瞬时速度大小为
C.物体的运动时间为
D.物体的运动位移的大小为
【答案】分析:通过竖直分位移与水平分位移大小相等,求出时间,根据时间可求出竖直方向的分速度和速度的大小和方向以及运动的位移.
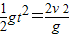
解答:解:A、C、竖直分位移与水平分位移大小相等,有vt=
gt2,t=
,竖直方向上的分速度vy=gt=2v.故A错误,C正确;
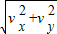
B、此时小球的速度v=
=
,故B正确;
D、水平分位移:x=
;
竖直分位移:y=
;
故合位移为:
,故D正确;
故选BCD.
点评:解决本题的关键掌握处理平抛运动的方法,平抛运动可分解为水平方向上的匀速直线运动和竖直方向上的自由落体运动.且分运动与合运动具有等时性.
解答:解:A、C、竖直分位移与水平分位移大小相等,有vt=
B、此时小球的速度v=
D、水平分位移:x=
竖直分位移:y=
故合位移为:
故选BCD.
点评:解决本题的关键掌握处理平抛运动的方法,平抛运动可分解为水平方向上的匀速直线运动和竖直方向上的自由落体运动.且分运动与合运动具有等时性.
练习册系列答案
相关题目
如右图所示传送带与水平面的夹角为370,质量为m的物体与弹簧连接,弹簧的另一端与绳连接,绳通过滑轮与质量为M(
)的物体连接,当传送带以速度v匀速运动时物体静止在传送带上,下列说法正确的是( )![]()
| A.当传送带速度增加到2v时,M将仍然静止不动 |
| B.当弹簧与物体m脱离后,传送带仍以v的速度运动,物体m受到的摩擦力一直为动力 |
| C.当弹簧与物体m脱离后,传送带仍以v的速度运动,物体m的最终速度也为v |
| D.当弹簧与物体m脱离后,传送带仍以v的速度运动,传送带对m的作用力大小恒定 |