题目内容
如图所示,足够长的水平粗糙轨道与固定在水平面上的光滑弧形轨道在P点相切,质量为m的滑块B静止于P点;质量为2m的滑块A由静止开始沿着光滑弧形轨道下滑,下滑的起始位置距水平轨道的高度为h,滑块A在P点与静止的滑块B碰撞后,两滑块粘合在一起共同向左运动.两滑块均可视为质点,且与水平轨道的动摩擦因素均为μ,P点切线水平.求:(1)滑块A到达P点与B碰前瞬间的速度大小;
(2)两滑块最终停止时距P点的距离.
【答案】分析:(1)、弧形轨道光滑,所以滑块A在沿弧形轨道下滑至于B碰撞前机械能守恒,应用机械能守恒定律即可求出滑块A到达P点与B碰前瞬间的速度.
(2)、在P点AB两物体发生碰撞,在碰撞过程中,动量守恒,可由动量守恒定律求出碰撞后两物体的共同速度;碰后AB在粗糙的水平轨道上滑行,做匀减速直线运动,碰后的动能转化为内能,由能量的转化与守恒可求出滑行的距离.
解答:解:
(1)设滑块A到达P点与B碰前瞬间的速度为v,由机械能守恒定律有:
2mgh=
解得
(2)设滑块A与B碰撞后的共同速度为v,由动量守恒定律有:
2mv=3mv
两滑块粘合在-起共同向左运动,设最终停止时距P点的距离为s,由动能定理有

联立上述式子并代入数据解得:

答:(1)滑块A到达P点与B碰前瞬间的速度为
.
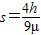
(2)两滑块最终停止时距P点的距离为
.
点评:应用机械能守恒定律解题,可从两个方面分析守恒的条件:一是只有重力(或系统内弹力)做功,其他外力和内力不做功(或其他力做功的代数和为零).二是物体间只有动能和势能的相互转化,系统与外界没有发生机械能的传递,机械能也没有转化为其他形式的能.
物体在粗糙的水平面上滑动,由于有摩擦力存在,物体会做匀减速直线运动,此过程中摩擦力做功,使机械能转化为系统的内能.应用摩擦力做功求解机械能能的转化时,要注意摩擦力与相对位移的乘积才是转化为内能的部分.
此题的第二问还可由牛顿运动定律和运动学公式求解.
(2)、在P点AB两物体发生碰撞,在碰撞过程中,动量守恒,可由动量守恒定律求出碰撞后两物体的共同速度;碰后AB在粗糙的水平轨道上滑行,做匀减速直线运动,碰后的动能转化为内能,由能量的转化与守恒可求出滑行的距离.
解答:解:
(1)设滑块A到达P点与B碰前瞬间的速度为v,由机械能守恒定律有:
2mgh=
解得
(2)设滑块A与B碰撞后的共同速度为v,由动量守恒定律有:
2mv=3mv
两滑块粘合在-起共同向左运动,设最终停止时距P点的距离为s,由动能定理有
联立上述式子并代入数据解得:
答:(1)滑块A到达P点与B碰前瞬间的速度为
(2)两滑块最终停止时距P点的距离为
点评:应用机械能守恒定律解题,可从两个方面分析守恒的条件:一是只有重力(或系统内弹力)做功,其他外力和内力不做功(或其他力做功的代数和为零).二是物体间只有动能和势能的相互转化,系统与外界没有发生机械能的传递,机械能也没有转化为其他形式的能.
物体在粗糙的水平面上滑动,由于有摩擦力存在,物体会做匀减速直线运动,此过程中摩擦力做功,使机械能转化为系统的内能.应用摩擦力做功求解机械能能的转化时,要注意摩擦力与相对位移的乘积才是转化为内能的部分.
此题的第二问还可由牛顿运动定律和运动学公式求解.
练习册系列答案
相关题目