题目内容

如图所示,水平绝缘粗糙的轨道AB与处于竖直平面内的半圆形绝缘光滑轨道BC平滑连接,半圆形轨道的半径R=0.40 m.在轨道所在空间存在水平向右的匀强电场,电场线与轨道所在的平面平行,电场强度E=1.0×104 N/C.现有一电荷量q=+1.0×10-4 C,质量m=0.10 kg的带电体(可视为质点),在水平轨道上的P点由静止释放,带电体恰好能通过半圆形轨道的最高点C,然后落至水平轨道上的D点.取g=10 m/s2.试求:

(1)带电体在圆形轨道C点的速度大小.

(2)D点到B点的距离xDB

(3)带电体运动到圆形轨道B点时对圆形轨道的压力大小.

(4)带电体在从P开始运动到落至D点的过程中的最大动能.

答案:
解析:

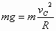
  解:(1)设带电体通过C点时的速度为vC,依据牛顿第二定律:

   2分

  解得 1分

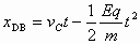
  (2)设带电体从最高点C落至水平轨道上的D点经历的时间为,根据运动的分解有:

   1分

   2分

  联立解得 1分

  (3)设带电体通过B点时的速度为vB,设轨道对带电体的支持力大小为,带电体在B点时,根据牛顿第二定律有 1分

  带电体从B运动到C的过程中,依据动能定理:

   2分

  联立解得 1分

  根据牛顿第三定律,带电体对轨道的压力 1分

  (4)由PB带电体作加速运动,故最大速度一定出现在从BCD的过程中.在此过程中只有重力和电场力做功,这两个力大小相等,其合力与重力方向成45°夹角斜向右下方,故最大速度必出现在B点右侧对应圆心角为45°处. 1分

  设小球的最大动能为,根据动能定理有: 2分

  解得(或) 2分


练习册系列答案
相关题目

违法和不良信息举报电话:027-86699610 举报邮箱:58377363@163.com

精英家教网