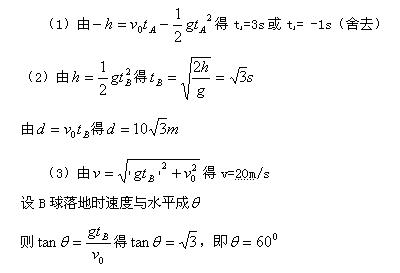
题目内容
A、B两小球同时从距地面高为h=15m处的同一点抛出,初速度大小均为v0=10m/s。A球竖直向上抛出,B球水平抛出,空气阻力不计,重力加速度取g=l0m/s2。求:
(1)A球经多长时间落地?
(2)两球落地点相距多远?
(3)B球落地时的速度大小和方向。
练习册系列答案
相关题目
题目内容
A、B两小球同时从距地面高为h=15m处的同一点抛出,初速度大小均为v0=10m/s。A球竖直向上抛出,B球水平抛出,空气阻力不计,重力加速度取g=l0m/s2。求:
(1)A球经多长时间落地?
(2)两球落地点相距多远?
(3)B球落地时的速度大小和方向。