题目内容
质点沿半径为R的圆周做匀变速圆周运动,加速度为a,则下列物理量的计算结果不正确的是( )A.质点的角速度ω=
B.t秒内质点的路程为s=
C.t秒内质点转过的角度φ=
D.质点的运动周期为T=2
【答案】分析:做匀速圆周运动的质点的加速度与加速度、线速度、弧长、周期之间的关系是:
的
解答:解:A:圆周运动的加速度与角速度的关系:a=mω2R,得:
故A正确;
B:圆周运动的加速度与线速度的关系:
得:
,所以t秒内质点的路程就是质点走过的弧长:
,故B正确;
C:t秒内质点转过的角度:
,故C错误;
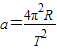
D:圆周运动的加速度与周期度的关系:
,所以:
故D正确.
本题要求选不正确的选项,故选:C
点评:该题考查做匀速圆周运动的质点的加速度与加速度、线速度、弧长、周期之间的关系是:
,属于基础题目.
解答:解:A:圆周运动的加速度与角速度的关系:a=mω2R,得:
B:圆周运动的加速度与线速度的关系:
C:t秒内质点转过的角度:
D:圆周运动的加速度与周期度的关系:
本题要求选不正确的选项,故选:C
点评:该题考查做匀速圆周运动的质点的加速度与加速度、线速度、弧长、周期之间的关系是:
练习册系列答案
相关题目
一个质点沿半径为r的圆周做匀速圆周运动,线速度为v,则它的角速度为( )
| A、v2r | ||
| B、vr | ||
C、
| ||
| D、vr 2 |
一个质点沿半径为R的圆周运动两圈,回到原地,其路程与位移的大小分别为( )
| A、4πR,2πR | B、2πR,0 | C、0,4πR | D、4πR,0 |