题目内容
质量为0.2kg的物体,其速度在x、y方向的分量vx、vy与时间t的关系如图所示,已知x、y方向相互垂直,则( )A.0~4 s内物体做曲线运动
B.0~6 s内物体一直做曲线运动
C.0~4 s内物体的位移为12 m
D.4~6 s内物体的位移为
【答案】分析:根据图象可知物体在水平和竖直方向的运动情况,根据运动情况分析受力情况,根据矢量合成方法求解位移.
解答:解:A、由图象可知:在0~4 s内物体在x方向做匀速运动,竖直方向做匀加速直线运动,所以合外力在竖直方向上,所以合外力与初速度不在同一直线上,物体做曲线运动,故A正确,在4s末,合力方向与速度方向相同,做直线运动,故B错误
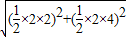
C、根据矢量合成原则有:0~4 s内物体的位移为x=
m=4
m,故C错误,
D、根据矢量合成原则有:4~6 s内物体的位移为x=
=
,故D正确.
故选AD
点评:本题一方面要抓住速度图象两个数学意义来理解其物理意义:“面积”大小等于位移、斜率等于加速度,知道物体做曲线运动的条件
解答:解:A、由图象可知:在0~4 s内物体在x方向做匀速运动,竖直方向做匀加速直线运动,所以合外力在竖直方向上,所以合外力与初速度不在同一直线上,物体做曲线运动,故A正确,在4s末,合力方向与速度方向相同,做直线运动,故B错误
C、根据矢量合成原则有:0~4 s内物体的位移为x=
D、根据矢量合成原则有:4~6 s内物体的位移为x=
故选AD
点评:本题一方面要抓住速度图象两个数学意义来理解其物理意义:“面积”大小等于位移、斜率等于加速度,知道物体做曲线运动的条件
练习册系列答案
相关题目