ÌâÄ¿ÄÚÈÝ
¡°¾²Ö¹¡±ÔÚ³àµÀÉϿյĵØÇòͬ²½ÆøÏóÎÀÐǰѹãÀ«ÊÓÒ°Ä򵀮øÏóÊý¾Ý·¢»ØµØÃ棬ΪÌìÆøÔ¤±¨Ìṩ׼ȷ¡¢È«ÃæºÍ¼°Ê±µÄÆøÏó×ÊÁÏ£®ÉèµØÇòͬ²½ÎÀÐǵĹìµÀ°ë¾¶ÊǵØÇò°ë¾¶µÄn±¶£¬ÏÂÁÐ˵·¨ÖÐÕýÈ·µÄÊÇ£¨ £©A£®Í¬²½ÎÀÐÇÔËÐÐËÙ¶ÈÊǵÚÒ»ÓîÖæËٶȵÄ
B£®Í¬²½ÎÀÐǵÄÔËÐÐËÙ¶ÈÊǵØÇò³àµÀÉÏÎïÌåËæµØÇò×Ôת»ñµÃµÄËٶȵÄ
C£®Í¬²½ÎÀÐÇÔËÐÐËÙ¶ÈÊǵÚÒ»ÓîÖæËٶȵÄ
D£®Í¬²½ÎÀÐǵÄÏòÐļÓËÙ¶ÈÊǵØÇò±íÃæÖØÁ¦¼ÓËٶȵÄ
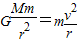
¡¾´ð°¸¡¿·ÖÎö£ºA¡¢¸ù¾ÝÍòÓÐÒýÁ¦ÌṩÏòÐÄÁ¦
£¬È¥Çóͬ²½ÎÀÐǵÄÔËÐÐËٶȺ͵ÚÒ»ÓîÖæËÙ¶ÈÖ®±È£®
B¡¢Í¬²½ÎÀÐÇÓëµØÇò³àµÀÉϵÄÎïÌå¾ßÓÐÏàͬµÄ½ÇËÙ¶È£¬¸ù¾Ýv=r¦ØÈ¥Çó½â£®
D¡¢µØÇò±íÃæÖØÁ¦¼ÓËٶȵÈÓÚÌù½üµØÇò±íÃæ×öÔÈËÙÔ²ÖÜÔ˶¯ÎÀÐǵÄÏòÐļÓËÙ¶È£¬ÔÙ¸ù¾ÝÍòÓÐÒýÁ¦ÌṩÏòÐÄÁ¦È¥·ÖÎö£®
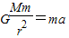
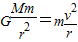
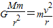
½â´ð£º½â£ºA¡¢¸ù¾ÝÍòÓÐÒýÁ¦ÌṩÏòÐÄÁ¦
£¬v=
£®µÚÒ»ÓîÖæËٶȵĹìµÀ°ë¾¶µÈÓÚµØÇòµÄ°ë¾¶£¬Í¬²½ÎÀÐǵĹìµÀ°ë¾¶ÊǵØÇò°ë¾¶µÄn±¶£¬ËùÒÔͬ²½ÎÀÐÇÔËÐÐËÙ¶ÈÊǵÚÒ»ÓîÖæËٶȵÄ
±¶£®¹ÊA´íÎó£¬CÕýÈ·£®
B¡¢Í¬²½ÎÀÐÇÓëµØÇò³àµÀÉϵÄÎïÌå¾ßÓÐÏàͬµÄ½ÇËÙ¶È£¬¸ù¾Ýv=r¦Ø£¬Í¬²½ÎÀÐǵÄÏßËÙ¶ÈÊdzàµÀÎïÌåÏßËٶȵÄn±¶£®¹ÊB´íÎó£®
D¡¢¸ù¾Ý
£¬a=
£¬Í¬²½ÎÀÐǵÄÏòÐļÓËÙ¶ÈÊÇÌù½üµØÇò±íÃæÔËÐÐÎÀÐÇÏòÐļÓËٶȵÄ
£¬¸ù¾ÝÍòÓÐÒýÁ¦µÈÓÚÖØÁ¦£¬Ìù½üµØÇò±íÃæÔËÐÐÎÀÐǵÄÏòÐļÓËٶȵÈÓÚµØÇò±íÃæµÄÖØÁ¦¼ÓËÙ¶È£®¹ÊD´íÎó£®
¹ÊÑ¡C£®
µãÆÀ£º½â¾ö±¾ÌâµÄ¹Ø¼üÕÆÎÕÍòÓÐÒýÁ¦ÌṩÏòÐÄÁ¦
£¬ÒÔ¼°Àí½âµÚÒ»ÓîÖæËÙ¶È£®
B¡¢Í¬²½ÎÀÐÇÓëµØÇò³àµÀÉϵÄÎïÌå¾ßÓÐÏàͬµÄ½ÇËÙ¶È£¬¸ù¾Ýv=r¦ØÈ¥Çó½â£®
D¡¢µØÇò±íÃæÖØÁ¦¼ÓËٶȵÈÓÚÌù½üµØÇò±íÃæ×öÔÈËÙÔ²ÖÜÔ˶¯ÎÀÐǵÄÏòÐļÓËÙ¶È£¬ÔÙ¸ù¾ÝÍòÓÐÒýÁ¦ÌṩÏòÐÄÁ¦È¥·ÖÎö£®
½â´ð£º½â£ºA¡¢¸ù¾ÝÍòÓÐÒýÁ¦ÌṩÏòÐÄÁ¦
B¡¢Í¬²½ÎÀÐÇÓëµØÇò³àµÀÉϵÄÎïÌå¾ßÓÐÏàͬµÄ½ÇËÙ¶È£¬¸ù¾Ýv=r¦Ø£¬Í¬²½ÎÀÐǵÄÏßËÙ¶ÈÊdzàµÀÎïÌåÏßËٶȵÄn±¶£®¹ÊB´íÎó£®
D¡¢¸ù¾Ý
¹ÊÑ¡C£®
µãÆÀ£º½â¾ö±¾ÌâµÄ¹Ø¼üÕÆÎÕÍòÓÐÒýÁ¦ÌṩÏòÐÄÁ¦
Á·Ï°²áϵÁдð°¸
Ïà¹ØÌâÄ¿