ÌâÄ¿ÄÚÈÝ
ÈçͼËùʾ£¬ÖÊÁ¿m1=2kgµÄÎïÌåAÓëÒ»¾¢¶ÈϵÊýΪk=500N/mµÄÇᵯ»ÉÏàÁ¬£¬µ¯»ÉµÄÁíÒ»¶ËÓëµØÃæÉϵÄÖÊÁ¿Îªm2=1kgµÄÎïÌåBÏàÁ¬£¬µ¯»ÉÊúÆð£®A¡¢B¾ù´¦ÓÚ¾²Ö¹×´Ì¬£®ÁíÓÐÒ»ÖÊÁ¿Îªm3=1kgµÄÎïÌåC´ÓÎïÌåAµÄÕýÉÏ·½¾àÀëh=0.45m´¦×ÔÓÉÏÂÂ䣮Âäµ½AÉÏÁ¢¿ÌÓëAÕ³Á¬²¢Ò»ÆðÏòÏÂÔ˶¯£¬ÆäËÙ¶ÈΪ1m/s£¬ËüÃǵ½´ï×îµÍµãºóÓÖÏòÉÏÔ˶¯£¬×îÖÕÇ¡ºÃÄÜʹBÀ뿪µØÃ浫²»¼ÌÐøÉÏÉý£®£¨A¡¢B¡¢C¾ù¿ÉÊÓΪÖʵ㣬gÈ¡10m/s2£©£¨1£©ÇóCÓëAÅöײǰµÄËÙ¶ÈV£»
£¨2£©´ÓACÒ»ÆðÔ˶¯Ö±ÖÁ×î¸ßµãµÄ¹ý³ÌÖе¯»É¶ÔACÕûÌå×öµÄ¹¦£®
¡¾´ð°¸¡¿·ÖÎö£º£¨1£©ÅöǰÎïÌå×ö×ÔÓÉÂäÌåÔ˶¯£¬Óɶ¯Äܶ¨Àí¿ÉÇóµÃÏÂÂäºóµÄËÙ¶È£»
£¨2£©Óɺú¿Ë¶¨ÂÉ¿ÉÇóµÃ¿ªÊ¼¼°À뿪ʱÎïÌåµÄÎ»ÒÆ£¬ÔòÓɶ¯Äܶ¨Àí¿ÉÇóµÃµ¯Á¦Ëù×öµÄ¹¦£®
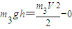
½â´ð£º½â£º£¨1£©ÉèÎïÌåCÓëAÅöײǰËÙ¶ÈΪV£¬Ôò¸ù¾Ý¶¯Äܶ¨Àí£º
½âµÃ£ºV=3m/s£®
£¨2£©¸ù¾ÝF=kx£¬¿ªÊ¼Ê±µ¯»ÉѹËõÁ¿
B¸ÕÒªÀ뿪µØÃæÊ±µ¯»ÉÉ쳤Á¿
ÔòACÒ»ÆðÔ˶¯µÄ×î¸ßµãºÍÅöײλÖõľàÀëΪh¡ä=x1+x2=0.06m
Éè´ÓACÒ»ÆðÔ˶¯Ö±ÖÁ×î¸ßµãµÄ¹ý³ÌÖе¯»Éµ¯Á¦×ö¹¦ÎªW£¬¸ù¾Ý¶¯Äܶ¨Àí£º
½âµÃW=0.3J£®
µãÆÀ£ºµ¯»ÉÔڸ߿¼ÖгöÏֽ϶࣬Ӧ¶ÔÆäµ¯Á¦µÄ±ä»¯¹ý³Ì×÷³ä·ÖµÄÁ˽⣬²¢ÄÜÁé»îÓ¦ÓÃËùѧÎïÀí¹æÂÉÇó½â£®
£¨2£©Óɺú¿Ë¶¨ÂÉ¿ÉÇóµÃ¿ªÊ¼¼°À뿪ʱÎïÌåµÄÎ»ÒÆ£¬ÔòÓɶ¯Äܶ¨Àí¿ÉÇóµÃµ¯Á¦Ëù×öµÄ¹¦£®
½â´ð£º½â£º£¨1£©ÉèÎïÌåCÓëAÅöײǰËÙ¶ÈΪV£¬Ôò¸ù¾Ý¶¯Äܶ¨Àí£º
½âµÃ£ºV=3m/s£®
£¨2£©¸ù¾ÝF=kx£¬¿ªÊ¼Ê±µ¯»ÉѹËõÁ¿
B¸ÕÒªÀ뿪µØÃæÊ±µ¯»ÉÉ쳤Á¿
ÔòACÒ»ÆðÔ˶¯µÄ×î¸ßµãºÍÅöײλÖõľàÀëΪh¡ä=x1+x2=0.06m
Éè´ÓACÒ»ÆðÔ˶¯Ö±ÖÁ×î¸ßµãµÄ¹ý³ÌÖе¯»Éµ¯Á¦×ö¹¦ÎªW£¬¸ù¾Ý¶¯Äܶ¨Àí£º
½âµÃW=0.3J£®
µãÆÀ£ºµ¯»ÉÔڸ߿¼ÖгöÏֽ϶࣬Ӧ¶ÔÆäµ¯Á¦µÄ±ä»¯¹ý³Ì×÷³ä·ÖµÄÁ˽⣬²¢ÄÜÁé»îÓ¦ÓÃËùѧÎïÀí¹æÂÉÇó½â£®
Á·Ï°²áϵÁдð°¸
Ïà¹ØÌâÄ¿