题目内容

(18分)如图所示,在水平桌面上放有长木板C,C上右端是固定挡板P,在C上左端和中点处各放有小物块A和B,A、B的尺寸以及P的厚度皆可忽略不计,A、B之间和B、P之间的距离都为L.设木板C和桌面之间无摩擦,A、C和B、C之间的动摩擦因数都为,最大静摩擦力等于滑动摩擦力大小,A、B、C(连同挡板P)的质量都为,开始时,B和C静止,A以某一初速度向右运动,重力加速度为.求:

(1)A和B发生碰撞前,B受到的摩擦力大小?

(2)A和B能够发生碰撞时,A的初速度应满足的条件?

(3)B和P能够发生碰撞时,A的初速度应满足的条件(已知A、B碰撞无机械能损失.)

 

【答案】

(1)  (2)   (3)

【解析】

试题分析: (1)对B、C由牛顿第二定律得:

对B由牛顿第二定律得:

(2)对A、B、C系统由动量守恒定律得:

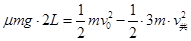
对A、B、C系统由能量守恒定律得:

解得:  

A的初速度应满足的条件是:

(3)对A、B、C系统由动量守恒定律得:

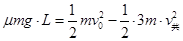
对A、B、C系统由能量守恒定律得:

解得: 

A 的初速度应满足的条件是:

考点:本题考查了动量守恒定律、能量守恒定律、牛顿第二定律。

 

练习册系列答案
相关题目

违法和不良信息举报电话:027-86699610 举报邮箱:58377363@163.com

精英家教网