题目内容

宇航员站在某一星球表面上的某高处,沿水平方向抛出一小球.经过时间t,小球落到星球表面,测得抛出点与落地点之间的距离为L.若抛出时的初速度增大到2倍,则抛出点与落地点之间的距离为L.已知两落地点在同一水平面上,该星球的半径为R,万有引力常数为G.求该星球的质量M

答案:
解析:

  解析:设抛出点的高度为h,第一次平抛的水平射程为x,则有

  xyL(1)

  由平抛运动的规律得知,当初速度增大到2倍,其水平射程也增大到2x,可得(2x)h=(L)(2)

  由以上两式解得h=(3)

  设该星球上的重力加速度为g,由平抛运动的规律得h=gt(4)

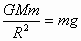
  由万有引力定律与牛顿第二定律得(式中m为小球的质量)(5)

  联立以上各式得:


练习册系列答案
相关题目

违法和不良信息举报电话:027-86699610 举报邮箱:58377363@163.com

精英家教网