题目内容
某种类型的飞机起飞滑行时,从静止开始做匀加速运动,加速度大小为4.0m/s2,飞机达到起飞速度80m/s时,突然接到命令停止起飞,飞行员立即使飞机紧急制动,飞机做匀减速运动,加速度的大小为5.0m/s2,请你为该类型的飞机设计一条跑道,使在这种特殊的情况下飞机停止起飞而不滑出跑道,你设计的跑道长度至少要多长?
【答案】分析:飞机经历了匀加速直线运动和匀减速直线运动,根据运动速度位移公式求出匀加速直线运动的位移和匀减速直线运动的位移,两个位移之和即为跑道的最小长度.
解答:解:飞机从静止开始做匀加速运动到离开地面升空过程中滑行的距离为x1,
飞机匀减速直线运动的位移x2,
所以跑道的至少长度x=x1+x2=800+640m=1440m.
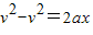
点评:解决本题的关键掌握匀变速直线运动的速度位移公式
,以及知道跑道的至少长度等于匀加速和匀减速运动的位移之和.
解答:解:飞机从静止开始做匀加速运动到离开地面升空过程中滑行的距离为x1,
飞机匀减速直线运动的位移x2,
所以跑道的至少长度x=x1+x2=800+640m=1440m.
点评:解决本题的关键掌握匀变速直线运动的速度位移公式
练习册系列答案
相关题目