ÌâÄ¿ÄÚÈÝ

ÔÚÓõç»ð»¨¼ÆÊ±Æ÷¡°Ñо¿ÔȱäËÙÖ±ÏßÔ˶¯¡±µÄʵÑéÖУ¬ÈçͼËùʾµÄÊÇÒ»´Î¼Ç¼С³µÔ˶¯Çé¿öµÄÖ½´ø£¬Í¼ÖÐA¡¢B¡¢C¡¢D¡¢EΪÏàÁڵļÆÊýµã£¬ÏàÁÚ¼ÆÊýµã¼ä»¹ÓÐËĸöµãδ»­³ö£®
£¨1£©¸ù¾Ý    ¿ÉÒÔÅж¨Ð¡³µ×öÔȼÓËÙÔ˶¯£®
£¨2£©¸ù¾ÝÔ˶¯Ñ§Óйع«Ê½¿ÉÇóµÃ vB=1.38m/s£¬vC=    m/s£¬vD=3.90m/s£®
£¨3£©ÀûÓÃÇóµÃµÄÊýÖµ×÷³öС³µµÄv-tͼÏߣ¨ÒÔ´òAµãʱ¿ªÊ¼¼Çʱ£©£®
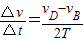
£¨4£©ÀûÓÃÖ½´øÉϵÄÊý¾Ý»òÕßv-tͼÏßÇó³öС³µÔ˶¯µÄ¼ÓËÙ¶Èa=    m/s2£®

£¨5£©½«Í¼ÏßÑÓ³¤Óë×ÝÖáÏཻ£¬½»µãµÄ×Ý×ø±êÊÇ0.12m/s£¬´ËËٶȵÄÎïÀíÒâÒåÊÇ£º    £®
¡¾´ð°¸¡¿·ÖÎö£º¸ù¾ÝÖ½´øÏàÁÚÏàµÈʱ¼ä¼ä¸ôÄÚµÄÎ»ÒÆ²îÏàµÈ¿ÉÒÔÅж¨Ð¡³µ×öÔȼÓËÙÔ˶¯£®
Ö½´øÊµÑéÖУ¬ÈôÖ½´øÔȱäËÙÖ±ÏßÔ˶¯£¬²âµÃÖ½´øÉϵĵã¼ä¾à£¬ÀûÓÃÔȱäËÙÖ±ÏßÔ˶¯µÄÍÆÂÛ£¬¿É¼ÆËã³ö´ò³öijµãʱֽ´øÔ˶¯µÄ˲ʱËٶȺͼÓËÙ¶È£®
½â´ð£º½â£º£¨1£©¸ù¾ÝÖ½´øÏàÁÚÏàµÈʱ¼ä¼ä¸ôÄÚµÄÎ»ÒÆ²îÏàµÈ¿ÉÒÔÅж¨Ð¡³µ×öÔȼÓËÙÔ˶¯£®
£¨2£©ÀûÓÃÔȱäËÙÖ±ÏßÔ˶¯µÄÍÆÂ۵ãº
vC==2.64m/s
£¨3£©¸ù¾ÝÃèµã·¨×÷ͼ£¬Í¼ÏóÈçͼËùʾ£¬
£¨4£©¼ÓËÙ¶Èa==12.6m/s2£®
£¨5£©´ËËٶȵÄÎïÀíÒâÒåÊÇ´òµã¼ÆÊ±Æ÷´òϼÆÊ±µãAʱֽ´ø¶ÔÓ¦µÄËÙ¶È£®
¹Ê´ð°¸Îª£º£¨1£©ÏàÁÚÏàµÈʱ¼ä¼ä¸ôÄÚµÄÎ»ÒÆ²îÏàµÈ£»
£¨2£©2.64£»
£¨3£©ÈçͼËùʾ£»
£¨4£©12.6£»
£¨5£©´òµã¼ÆÊ±Æ÷´òϼÆÊ±µãAʱֽ´ø¶ÔÓ¦µÄËÙ¶È
µãÆÀ£ºÒª×¢ÒⵥλµÄ»»Ëã
¶ÔÓÚÖ½´øµÄÎÊÌ⣬ÎÒÃÇÒªÊìϤÔȱäËÙÖ±ÏßÔ˶¯µÄÌØµãºÍһЩ¹æÂÉ£®
Á·Ï°²áϵÁдð°¸
Ïà¹ØÌâÄ¿
ÔÚÓõç»ð»¨¼ÆÊ±Æ÷¡°Ñо¿ÔȱäËÙÖ±ÏßÔ˶¯¡±µÄʵÑéÖУ¬ÈçͼËùʾµÄÊÇÒ»´Î¼Ç¼С³µÔ˶¯Çé¿öµÄÖ½´ø£¬Í¼ÖÐA¡¢B¡¢C¡¢D¡¢EΪÏàÁڵļÆÊýµã£¬ÏàÁÚ¼ÆÊýµã¼ä»¹ÓÐËĸöµãδ»­³ö£®
£¨1£©µç»ð»¨¼ÆÊ±Æ÷µÄ¹¤×÷µçѹÊÇ
220
220
VµÄ½»Á÷µç£®Ê¹ÓÃʱ£¬Òª°ÑÖ½´ø´©¹ý
ÏÞλ¿×
ÏÞλ¿×
£¬µ±½ÓͨµçÔ´¡¢°´ÏÂÂö³å¿ª¹ØÊ±£¬¼ÆÊ±Æ÷·¢³öµÄÂö³åµçÁ÷¾­·ÅµçÕ롢ī·ÛÖ½ÅÌ£¬²úÉú
»ð»¨·Åµç
»ð»¨·Åµç
£¬ÓÚÊǾÍÔÚÔ˶¯µÄÖ½´øÉϾʹò³öÒ»Ðе㼣£®
£¨2£©¸ù¾Ý
ÏàÁÚµÈʱ¼ä¼ä¸ôÄÚµÄÎ»ÒÆ²îÏàµÈ
ÏàÁÚµÈʱ¼ä¼ä¸ôÄÚµÄÎ»ÒÆ²îÏàµÈ
¿ÉÒÔÅж¨Ð¡³µ×öÔȼÓËÙÔ˶¯£®
£¨3£©¸ù¾ÝÔ˶¯Ñ§Óйع«Ê½¿ÉÇóµÃ vB=1.38m/s£¬vC=
2.64
2.64
m/s£¬vD=3.90m/s£®

£¨4£©ÀûÓÃÇóµÃµÄÊýÖµ×÷³öС³µµÄv-tͼÏߣ¨ÒÔ´òAµãʱ¿ªÊ¼¼Çʱ£©£¬²¢¸ù¾ÝͼÏßÇó³öС³µÔ˶¯µÄ¼ÓËÙ¶Èa=
11.7
11.7
m/s2£®
£¨5£©½«Í¼ÏßÑÓ³¤Óë×ÝÖáÏཻ£¬½»µãµÄ×Ý×ø±êÊÇ0.12m/s£¬´ËËٶȵÄÎïÀíÒâÒåÊÇ£º
´ËËٶȵÄÎïÀíÒâÒåÊÇ´òµã¼ÆÊ±Æ÷´òϼÆÊ±µãAʱֽ´ø¶ÔÓ¦µÄËÙ¶È
´ËËٶȵÄÎïÀíÒâÒåÊÇ´òµã¼ÆÊ±Æ÷´òϼÆÊ±µãAʱֽ´ø¶ÔÓ¦µÄËÙ¶È
£®

Î¥·¨ºÍ²»Á¼ÐÅÏ¢¾Ù±¨µç»°£º027-86699610 ¾Ù±¨ÓÊÏ䣺58377363@163.com

¾«Ó¢¼Ò½ÌÍø