题目内容
如图所示,一网球运动员将球在边界处正上方水平向右击出,球刚好过网落在图中位置(不计空气阻力),相关数据如图,下列说法中正确的是 ( )A.击球点高度h1与球网高度h2之间的关系为h1=1.8h2
B.若保持击球高度不变,球的初速度V只要不大于
C.任意降低击球高度(仍大于h2),只要击球初速度合适,球一定能落在对方界内
D.任意增加击球高度,只要击球初速度合适,球一定能落在对方界内
【答案】分析:A、平抛运动在水平方向上做匀速直线运动,抓住分运动与合运动具有等时性,先求出水平位移为s和
的时间比,从而知道下落h1-h2和下落h1所用的时间比,根据自由落体运动的规律求出击球点高度h1与球网高度h2之间的关系.
B、保持击球高度不变,要想球落在对方界内,要既不能出界,又不能触网,从而求出初速度的范围.
CD、当降低击球的高度,低于某一个高度,速度大会出界,速度小会触网.增加击球高度,只要速度合适,球能落在对方界内.
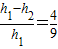
解答:解:A、平抛运动在水平方向上做匀速直线运动,水平位移为s和
的时间比2:3,则竖直方向上,根据
,则有
,解得h1=1.8h2.故A正确.
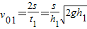
B、若保持击球高度不变,要想球落在对方界内,要既不能出界,又不能触网,根据
得,
.
则平抛运动的最大速度
.根据
得,
,则平抛运动的最小速度
.故B错误.
C、任意降低击球高度(仍大于h2),会有一临界情况,此时球刚好触网又刚好压界,若小于该临界高度,速度大会出界,速度小会触网,所以不是高度比网高,就一定能将球发到界内.故C错误.
D、增加击球高度,只有速度合适,球一定能发到对方界内.故D正确.
故选AD.
点评:本题考查平抛运动的临界问题,关键掌握平抛运动的规律,抓住临界情况,运用运动学规律进行求解.
B、保持击球高度不变,要想球落在对方界内,要既不能出界,又不能触网,从而求出初速度的范围.
CD、当降低击球的高度,低于某一个高度,速度大会出界,速度小会触网.增加击球高度,只要速度合适,球能落在对方界内.
解答:解:A、平抛运动在水平方向上做匀速直线运动,水平位移为s和
B、若保持击球高度不变,要想球落在对方界内,要既不能出界,又不能触网,根据
则平抛运动的最大速度
C、任意降低击球高度(仍大于h2),会有一临界情况,此时球刚好触网又刚好压界,若小于该临界高度,速度大会出界,速度小会触网,所以不是高度比网高,就一定能将球发到界内.故C错误.
D、增加击球高度,只有速度合适,球一定能发到对方界内.故D正确.
故选AD.
点评:本题考查平抛运动的临界问题,关键掌握平抛运动的规律,抓住临界情况,运用运动学规律进行求解.
练习册系列答案
相关题目
如图所示,在网球的网前截击练习中,若练习者在球网正上方距地面H处,将球以某一速度沿垂直球网的方向击出,球刚好落在底线上,已知底线到网的距离为L,重力加速度取g,将球的运动视作平抛运动,下列表述正确的是( )![]()
| A.可求出球落地的时间 |
| B.能求出人对球所做的功 |
| C.球从击球点至落地点的位移等于L |
| D.球落地时的速度与H无关 |