题目内容
有两列简谐横波a、b在同一介质中沿戈轴正方向传播,波速均为2.5m/s.在t=0时两列波的波峰正好在x=2.5m处重合,如图所示.求:(1)两列波的周期Ta和Tb.
(2)t=0时两列波的波峰重合处的所有位置.
【答案】分析:根据波的波长和波速求出波的周期.运用数学知识,求出位置坐标的通项.
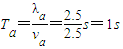
解答:解:从图中可以看出两列波的波长分别为λa=2.5m,λb=4.0m,
则
,
.
(2)两列波波长的最小整数公倍数为S=20m,则t=0时,两列波的波峰重合处的所有位置为
x=(2.5±20k)m,k=0,1,2,3,…
答:(1)两列波的周期分别为1s、1.6s.
(2)t=0时两列波的波峰重合处的所有位置x=(2.5±20k)m,k=0,1,2,3,…
点评:本题考查运用数学知识解决物理问题的能力.对于多解问题,往往要分析规律,列出通项表达式,解题时要防止漏解.
解答:解:从图中可以看出两列波的波长分别为λa=2.5m,λb=4.0m,
则
(2)两列波波长的最小整数公倍数为S=20m,则t=0时,两列波的波峰重合处的所有位置为
x=(2.5±20k)m,k=0,1,2,3,…
答:(1)两列波的周期分别为1s、1.6s.
(2)t=0时两列波的波峰重合处的所有位置x=(2.5±20k)m,k=0,1,2,3,…
点评:本题考查运用数学知识解决物理问题的能力.对于多解问题,往往要分析规律,列出通项表达式,解题时要防止漏解.
练习册系列答案
相关题目