题目内容
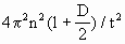
“用单摆测定重力加速度”的实验中,需采用的测量仪器有_______;实验中需要直接测量的物理量有_______;实验中通过测出摆球振动_______而算出摆动周期.计算重力加速度的表达式为g=_______.
答案:
解析:
解析:
|
米尺、卡尺、秒表,摆线长l、摆球直径D,n次的时间t, |
练习册系列答案
相关题目
题目内容
“用单摆测定重力加速度”的实验中,需采用的测量仪器有_______;实验中需要直接测量的物理量有_______;实验中通过测出摆球振动_______而算出摆动周期.计算重力加速度的表达式为g=_______.
|
米尺、卡尺、秒表,摆线长l、摆球直径D,n次的时间t, |