题目内容

如图所示,传送带与地面倾角,从A到B长度为16m,传送带以10m/s的速率转动.在传送带上端A无初速度地放一个质量为0.5kg的物体,它与传送带之间的动摩擦因数为0.5,求物体从A运动到B所需时间是多少?()

答案:2s,4s
解析:

题目的难点在于题中只告诉我们传送带转动时的速率而没有说明转动的方向,所以必须分成逆时针转动和顺时针转动两种情况进行分析.

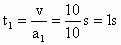
若传送带逆时针转动,物体放到传送带上后,开始的阶段,由于传送带的速度大于物体的速度,传送带给物体一沿传送带向下的滑动摩擦力,物体受力情况如图所示.物体由静止加速,由牛顿第二定律得

.物体加速至与传送带速度相等需要的时间.由于

物体在重力作用下将继续加速运动当物体速度大于传送带速度时,传送带给物体一沿传送带向上的滑动摩擦力.此时物体受力情况如图所示.由牛顿第二定律有

设后一阶段物体滑至底端所用时间为,,解得舍去).所以物体由AB的时间

若传送带顺时针转动,物体放到传送带上后物体相对传送带的运动方向向下,物体受的摩擦力方向向上,受力分析如图所示.

由牛顿第二定律得:,解得.物体将保持这一加速度滑至底端故有

(1)解答“运动和力”问题的关键是要分析清楚物体的受力情况和运动情况,弄清所给问题的物理情景.

(2)审题时注意由题设条件作必要的定性分析或半定量分析.如由本题中给出的值可做出判断:当时时,物体在加速至与传送带速度相同后将与传送带相对静止一起匀速运动.当时,物体在获得与传送带相同的速度后仍将继续加速.

(3)通过对该题的分析可进一步体会到,滑动摩擦力的方向并不总是阻碍物体的运动,而是阻碍物体间的相对运动,它可能是阻力,也可能是动力.


练习册系列答案
相关题目

违法和不良信息举报电话:027-86699610 举报邮箱:58377363@163.com

精英家教网