题目内容

如图所示,电源E恒定电压12 V,定值电阻R1=R2=8 Ω,电动机M的内电阻为R3=1 Ω,当开关s闭合,电动机转动稳定后,理想电压表的读数为U1=4 V.若电动机除了内电阻外不计其他损耗.

求:(1)电动机输出的机械功率P1.(2)电路消耗的总功率P.

答案:
解析:

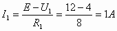
  解:(1)电动机直流的电流为I1

   2分

  电动机的总功率: 2分

   1分

  电动机的输出功率 1分

  (2)电路中消耗的功率 1分

  电路中消耗的功率 1分

  电路中消耗的总功率 2分


练习册系列答案
相关题目

违法和不良信息举报电话:027-86699610 举报邮箱:58377363@163.com

精英家教网