题目内容
在如图所示的圆锥摆中,已知绳子长度为L ,绳子转动过程中与竖直方向的夹角为θ ,试求小球做匀速圆周运动的周期。
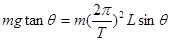
解析试题分析:小球做匀速圆周运动,重力和绳的拉力的合力充当向心力,方向指向圆心,则
,
解得 T=![]()
考点:匀速圆周运动及牛顿定律
练习册系列答案
相关题目
题目内容
在如图所示的圆锥摆中,已知绳子长度为L ,绳子转动过程中与竖直方向的夹角为θ ,试求小球做匀速圆周运动的周期。
解析试题分析:小球做匀速圆周运动,重力和绳的拉力的合力充当向心力,方向指向圆心,则
,
解得 T=![]()
考点:匀速圆周运动及牛顿定律