题目内容
A.球被击出后做平抛运动
B.该球从被击出到落入A穴所用的时间为
C.球被击出时的初速度大小为L
D.球被击出后受到的水平风力的大小为mgh/L
【答案】分析:小球在水平方向上做匀减速直线运动,在竖直方向上做自由落体运动,根据两个方向上的运动规律进行求解.
解答:解:A、小球受重力和水平风力作用,不是平抛运动.故A错误.
B、小球在竖直方向上做自由落体运动,则运动的时间t=
.故B正确
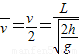
C、小球在水平方向上做匀减速直线运动,则平均速度
,解得初速度
.故C错误.
D、水平风力F=max=
.故D错误.
故选B.
点评:解决本题的关键搞清小球在水平方向和竖直方向上的运动规律,结合运动学公式进行求解.
解答:解:A、小球受重力和水平风力作用,不是平抛运动.故A错误.
B、小球在竖直方向上做自由落体运动,则运动的时间t=
C、小球在水平方向上做匀减速直线运动,则平均速度
D、水平风力F=max=
故选B.
点评:解决本题的关键搞清小球在水平方向和竖直方向上的运动规律,结合运动学公式进行求解.
练习册系列答案
相关题目
| A、球被击出后做平抛运动 | ||||
B、该球从被击出到落入A穴所用的时间为
| ||||
C、球被击出时的初速度大小为L
| ||||
D、球被击出后受到的水平风力的大小为
|
| A、球被击出后做平抛运动 | ||||||
B、该球从被击出到落入A穴所用的时间为
| ||||||
C、球被击出时的初速度大小为
| ||||||
D、球被击出后受到的水平风力的大小为
|