题目内容
为了“探究加速度与力、质量的关系”,现提供如图1所示实验装置.请思考探究思路并回答下列问题:(1)为了消除小车与水平之间摩擦力的影响应采取的做法是______
A.将木板不带滑轮的一端适当垫高,是小车在你钩码拉动下恰好做匀速运动
B.将木板带滑轮的一端适当垫高,使小车在钩码拉动下恰好做匀速运动
C.使木板不带滑轮的一端适当垫高,在不挂钩码的情况下使小车恰好做匀速运动
D.使木板不带滑轮的一端适当垫高,在不挂钩码的情况下使小车能够静止在木板上
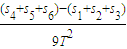
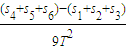
(2)在实验中,得到一条打点的纸带,如图2所示,已知相邻计数点的时间间隔为T,且间距S1、S2、S3、S4、S5、S6已量出,则小车加速度的表达式为a=______;
(3)有一组同学保持小车及车中的砝码质量一定,探究加速度a与所受外力F的关系,他们在轨道水平和倾斜两种情况下分别做了实验,得到了两条a-F图线,如图3所示.图线______是在轨道倾斜情况下得到的(选填①或②);小车及车中的砝码总质量m=______kg.
【答案】分析:(1)平衡摩擦力就是让小车在无拉力的作用下做匀速直线运动,让重力沿斜面的分力等于小车受到的摩擦力.
(2)从纸带上求加速度可以用逐差法求解.
(3)由图象可知,当F=0时,a≠0.也就是说当绳子上没有拉力时小车就有加速度,该同学实验操作中平衡摩擦力过大,即倾角过大,根据F=ma得a-F图象的斜率k=
解答:解:(1)平衡摩擦力就是让小车在无拉力的作用下做匀速直线运动,让重力沿斜面的分力等于小车受到的摩擦力.所以平衡时应为:将不带滑轮的木板一端适当垫高,在不挂钩码的情况下使小车恰好做匀速运动.
故选:C
(2)由匀变速运动的规律得:
s4-s1=3aT2
s5-s2=3aT2
s6-s3=3aT2
联立得:
(s4+s5+s6)-(s1+s2+s3)=9aT2
解得:a=
(3)由图象可知,当F=0时,a≠0.也就是说当绳子上没有拉力时小车就有加速度,该同学实验操作中平衡摩擦力过大,即倾角过大,平衡摩擦力时木板的右端垫得过高.所以图线①是在轨道右侧抬高成为斜面情况下得到的.
根据F=ma得a-F图象的斜率k=
由a-F图象得图象斜率k=2,所以m=0.5kg.
故答案为:(1)C
(2)
(3)①,0.5
点评:对于实验我们要明确实验原理、具体实验操作以及数据处理等,同时要清楚每一项操作存在的理由,只有掌握好了基本知识和基本方法才能顺利解决实验题目,所以要重视基本知识和基本方法的学习和训练.
(2)从纸带上求加速度可以用逐差法求解.
(3)由图象可知,当F=0时,a≠0.也就是说当绳子上没有拉力时小车就有加速度,该同学实验操作中平衡摩擦力过大,即倾角过大,根据F=ma得a-F图象的斜率k=
解答:解:(1)平衡摩擦力就是让小车在无拉力的作用下做匀速直线运动,让重力沿斜面的分力等于小车受到的摩擦力.所以平衡时应为:将不带滑轮的木板一端适当垫高,在不挂钩码的情况下使小车恰好做匀速运动.
故选:C
(2)由匀变速运动的规律得:
s4-s1=3aT2
s5-s2=3aT2
s6-s3=3aT2
联立得:
(s4+s5+s6)-(s1+s2+s3)=9aT2
解得:a=
(3)由图象可知,当F=0时,a≠0.也就是说当绳子上没有拉力时小车就有加速度,该同学实验操作中平衡摩擦力过大,即倾角过大,平衡摩擦力时木板的右端垫得过高.所以图线①是在轨道右侧抬高成为斜面情况下得到的.
根据F=ma得a-F图象的斜率k=
由a-F图象得图象斜率k=2,所以m=0.5kg.
故答案为:(1)C
(2)
(3)①,0.5
点评:对于实验我们要明确实验原理、具体实验操作以及数据处理等,同时要清楚每一项操作存在的理由,只有掌握好了基本知识和基本方法才能顺利解决实验题目,所以要重视基本知识和基本方法的学习和训练.
练习册系列答案
相关题目