题目内容

如图所示,在倾角=37°足够长的固定斜面上,有一质量m=1 kg的物体,物体与斜面间的动摩擦因数μ=0.5,物体从斜面底端出发沿斜面上滑,其初速度大小为v0=10 m/s,求:

(1)物体沿斜面上滑的加速度大小和最大距离各是多少?

(2)物体回到斜面底端时的动能多大?(sin37°=0.6,cos37°=0.8,g=10 m/s2)

答案:
解析:

  解:(14分)

  (1)当物体向上滑动时,物体在重力,支持力,摩擦力三个力的作用下做匀减速运动.由牛顿第二定律:

  在平行于斜面方向: ① (1分)

  在垂直于斜面方向: ② (1分)

  又: ③ (1分)

  由①~③得物体加速度大小: ④

  代入数据得:a=10 m/s2 (2分)

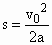
  设上滑的最大距离为s.由运动学公式有:

  v02=2as 得: ⑤ (2分)代入数据得:s=5 m (1分)

  (2)对全程由动能定理有: ⑥ (3分)

  代入数据解得:Ek=10 J. (3分)


练习册系列答案
相关题目

违法和不良信息举报电话:027-86699610 举报邮箱:58377363@163.com

精英家教网