ÌâÄ¿ÄÚÈÝ

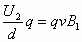
ÈçͼËùʾΪÖÊÆ×ÒǵÄÔ­Àíͼ£¬AΪÁ£×Ó¼ÓËÙÆ÷£¬µçѹΪU1£»BΪËÙ¶ÈÑ¡ÔñÆ÷£¬´Å³¡Óëµç³¡Õý½»£¬´Å¸ÐӦǿ¶ÈΪB1£¬°å¼ä¾àÀëΪd£»CΪƫת·ÖÀëÆ÷£¬´Å¸ÐӦǿ¶ÈΪB2£®½ñÓÐÒ»ÖÊÁ¿Îªm¡¢µçÁ¿ÎªqµÄ³õËÙΪÁãµÄÕýÀë×Ó¾­¼ÓËÙºó£¬Ç¡ºÃͨ¹ýËÙ¶ÈÑ¡ÔñÆ÷£¬½øÈë·ÖÀëÆ÷ºó×ö°ë¾¶ÎªRµÄÔÈËÙÔ²ÖÜÔ˶¯£¬Çó£º

(1)Á£×Ó½øÈëËÙ¶ÈÑ¡ÔñÆ÷µÄËÙ¶Èv£»

(2)ËÙ¶ÈÑ¡ÔñÆ÷µÄµçѹU2£»

(3)Á£×ÓÔÚB2´Å³¡ÖÐ×öÔÈËÙÔ²ÖÜÔ˶¯µÄ°ë¾¶R£®

´ð°¸£º
½âÎö£º

¡¡¡¡(1)Á£×Ó¾­¼ÓËٵ糡U1¼ÓËÙ£¬»ñµÃËÙ¶ÈV£¬µÃ£ºqU1£½mv2(2·Ö)

¡¡¡¡½âµÃv£½(2·Ö)

¡¡¡¡(2)ÔÚËÙ¶ÈÑ¡ÔñÆ÷ÖÐ×÷ÔÈËÙÖ±ÏßÔ˶¯£¬µÃEq£½qvB1(2·Ö)

¡¡¡¡¼´(2·Ö)£¬U2£½B1dv£½B1d(2·Ö)

¡¡¡¡(3)ÔÚB2ÖÐ×÷Ô²ÖÜÔ˶¯£¬ÂåÂØ×ÈÁ¦ÌṩÏòÐÄÁ¦£¬(2·Ö)

¡¡¡¡R£½£½£½(2·Ö)


Á·Ï°²áϵÁдð°¸
Ïà¹ØÌâÄ¿

µÚÊ®²¿·Ö ´Å³¡

µÚÒ»½² »ù±¾ÖªÊ¶½éÉÜ

¡¶´Å³¡¡·²¿·ÖÔÚ°ÂÈü¿¼¸ÕÖеĿ¼µãºÜÉÙ£¬ºÍ¸ß¿¼ÒªÇóµÄÇø±ð²»ÊǺܴó£¬Ö»ÊÇÔÚÁ½´¦ÓÐÉ£ºa¡¢µçÁ÷µÄ´Å³¡Òý½ø¶¨Á¿¼ÆË㣻b¡¢¶Ô´øµçÁ£×ÓÔÚ¸´ºÏ³¡ÖеÄÔ˶¯½øÐÐÁ˸üÉîÈëµÄ·ÖÎö¡£

Ò»¡¢´Å³¡Óë°²ÅàÁ¦

1¡¢´Å³¡

a¡¢ÓÀ´ÅÌå¡¢µçÁ÷´Å³¡¡ú´ÅÏÖÏóµÄµç±¾ÖÊ

b¡¢´Å¸ÐÇ¿¶È¡¢´ÅͨÁ¿

c¡¢ÎȺãµçÁ÷µÄ´Å³¡

*±Ï°Â-Èø·¥¶û¶¨ÂÉ£¨Biot-Savart law£©£º¶ÔÓÚµçÁ÷Ç¿¶ÈΪI ¡¢³¤¶ÈΪdIµÄµ¼ÌåÔª¶Î£¬ÔÚ¾àÀëΪrµÄµã¼¤·¢µÄ¡°Ôª´Å¸ÐӦǿ¶È¡±ÎªdB ¡£Ê¸Á¿Ê½d= k£¬£¨d±íʾµ¼ÌåÔª¶ÎµÄ·½ÏòÑØµçÁ÷µÄ·½Ïò¡¢Îªµ¼ÌåÔª¶Îµ½¿¼²éµãµÄ·½ÏòʸÁ¿£©£»»òÓôóС¹ØÏµÊ½dB = k½áºÏ°²ÅඨÔòѰÇó·½ÏòÒà¿É¡£ÆäÖРk = 1.0¡Á10?7N/A2 ¡£Ó¦ÓñÏÈø¶¨ÂÉÔÙ½áºÏʸÁ¿µþ¼ÓÔ­Àí£¬¿ÉÒÔÇó½âÈκÎÐÎ×´µ¼ÏßÔÚÈκÎλÖü¤·¢µÄ´Å¸ÐÇ¿¶È¡£

±ÏÈø¶¨ÂÉÓ¦ÓÃÔÚ¡°ÎÞÏÞ³¤¡±Ö±µ¼ÏߵĽáÂÛ£ºB = 2k £»

*±ÏÈø¶¨ÂÉÓ¦ÓÃÔÚ»·ÐεçÁ÷´¹Ö±ÖÐÐÄÖáÏßÉϵĽáÂÛ£ºB = 2¦ÐkI £»

*±ÏÈø¶¨ÂÉÓ¦ÓÃÔÚ¡°ÎÞÏÞ³¤¡±ÂÝÏß¹ÜÄÚ²¿µÄ½áÂÛ£ºB = 2¦ÐknI ¡£ÆäÖÐnΪµ¥Î»³¤¶ÈÂÝÏ߹ܵÄÔÑÊý¡£

2¡¢°²ÅàÁ¦

a¡¢¶ÔÖ±µ¼Ì壬ʸÁ¿Ê½Îª = I£»»ò±í´ïΪ´óС¹ØÏµÊ½ F = BILsin¦ÈÔÙ½áºÏ¡°×óÊÖ¶¨Ôò¡±½â¾ö·½ÏòÎÊÌ⣨¦ÈΪBÓëLµÄ¼Ð½Ç£©¡£

b¡¢ÍäÇúµ¼ÌåµÄ°²ÅàÁ¦

¢ÅÕûÌåºÏÁ¦

ÕÛÏßµ¼ÌåËùÊܰ²ÅàÁ¦µÄºÏÁ¦µÈÓÚÁ¬½Óʼĩ¶ËÁ¬Ïßµ¼Ì壨µçÁ÷²»±ä£©µÄµÄ°²ÅàÁ¦¡£

Ö¤Ã÷£º²ÎÕÕͼ9-1£¬ÁîMN¶Îµ¼ÌåµÄ°²ÅàÁ¦F1ÓëNO¶Îµ¼ÌåµÄ°²ÅàÁ¦F2µÄºÏÁ¦ÎªF£¬ÔòFµÄ´óСΪ

F = 

  = BI

  = BI

¹ØÓÚFµÄ·½Ïò£¬ÓÉÓÚ¦¤FF2P¡×¦¤MNO£¬¿ÉÒÔÖ¤Ã÷ͼ9-1ÖеÄÁ½¸ö»ÒÉ«Èý½ÇÐÎÏàËÆ£¬ÕâÒ²¾ÍÖ¤Ã÷ÁËFÊÇ´¹Ö±MOµÄ£¬ÔÙÓÉÓÚ¦¤PMOÊǵÈÑüÈý½ÇÐΣ¨Õâ¸öÖ¤Ã÷ºÜÈÝÒ×£©£¬¹ÊFÔÚMOÉϵĴ¹×ã¾ÍÊÇMOµÄÖеãÁË¡£

Ö¤±Ï¡£

ÓÉÓÚÁ¬ÐøÍäÇúµÄµ¼Ìå¿ÉÒÔ¿´³ÉÊÇÎÞÇî¶àÔª¶ÎÖ±Ïßµ¼ÌåµÄÕۺϣ¬ËùÒÔ£¬¹ØÓÚÕÛÏßµ¼ÌåÕûÌåºÏÁ¦µÄ½áÂÛÒ²ÊÊÓÃÓÚÍäÇúµ¼Ìå¡££¨ËµÃ÷£ºÕâ¸ö½áÂÛÖ»ÊÊÓÃÓÚÔÈÇ¿´Å³¡¡££©

¢Æµ¼ÌåµÄÄÚÕÅÁ¦

ÍäÇúµ¼ÌåÔÚÆ½ºâ»ò¼ÓËÙµÄÇéÐÎÏ£¬¾ù»á³öÏÖÄÚÕÅÁ¦£¬¾ßÌå·ÖÎöʱ£¬¿É½«µ¼ÌåÔÚ±»¿¼²éµãÇжϣ¬ÔÙ½«±»ÇжϵÄijһ²¿·Ö¸ôÀ룬ÁÐÆ½ºâ·½³Ì»ò¶¯Á¦Ñ§·½³ÌÇó½â¡£

c¡¢ÔÈÇ¿´Å³¡¶ÔÏßȦµÄת¾Ø

Èçͼ9-2Ëùʾ£¬µ±Ò»¸ö¾ØÐÎÏßȦ£¨ÏßÈ¦Ãæ»ýΪS¡¢Í¨ÒԺ㶨µçÁ÷I£©·ÅÈëÔÈÇ¿´Å³¡ÖУ¬ÇҴų¡BµÄ·½ÏòƽÐÐÏßÈ¦Æ½ÃæÊ±£¬ÏßȦÊܰ²ÅàÁ¦½«×ª¶¯£¨²¢×Ô¶¯Ñ¡Ôñ´¹Ö±BµÄÖÐÐÄÖáOO¡ä£¬ÒòΪÖÊÐÄÎÞ¼ÓËÙ¶È£©£¬´Ë˲ʱµÄÁ¦¾ØÎª

M = BIS

¼¸ÖÖÇéÐεÄÌÖÂÛ¡ª¡ª

¢ÅÔö¼ÓÔÑÊýÖÁN £¬Ôò M = NBIS £»

¢Æ×ªÖáÆ½ÒÆ£¬½áÂÛ²»±ä£¨Ö¤Ã÷´ÓÂÔ£©£»

¢ÇÏßȦÐÎ×´¸Ä±ä£¬½áÂÛ²»±ä£¨Ö¤Ã÷´ÓÂÔ£©£»

*¢È´Å³¡Æ½ÐÐÏßÈ¦Æ½ÃæÏà¶ÔÔ­´Å³¡·½ÏòÐýת¦Á½Ç£¬ÔòM = BIScos¦Á £¬Èçͼ9-3£»

Ö¤Ã÷£ºµ±¦Á = 90¡ãʱ£¬ÏÔÈ»M = 0 £¬¶ø´Å³¡ÊÇ¿ÉÒÔ·Ö½âµÄ£¬Ö»Óд¹Ö±×ªÖáµÄµÄ·ÖÁ¿Bcos¦Á²ÅÄܲúÉúÁ¦¾Ø¡­

¢É´Å³¡B´¹Ö±OO¡äÖáÏà¶ÔÏßÈ¦Æ½ÃæÐýת¦Â½Ç£¬ÔòM = BIScos¦Â £¬Èçͼ9-4¡£

Ö¤Ã÷£ºµ±¦Â = 90¡ãʱ£¬ÏÔÈ»M = 0 £¬¶ø´Å³¡ÊÇ¿ÉÒÔ·Ö½âµÄ£¬Ö»ÓÐÆ½ÐÐÏßÈ¦Æ½ÃæµÄµÄ·ÖÁ¿Bcos¦Â²ÅÄܲúÉúÁ¦¾Ø¡­

˵Ã÷£ºÔÚĬÈϵÄÇé¿öÏ£¬ÌÖÂÛÏßȦµÄת¾ØÊ±£¬ÈÏΪÏßȦµÄתÖá´¹Ö±´Å³¡¡£Èç¹ûûÓÐÈËΪÉ趨£¬¶øÊÇÈð²ÅàÁ¦×ÔÐÐÑ¡¶¨×ªÖᣬÕâʱµÄÁ¦¾Ø³ÆÎªÁ¦Å¼¾Ø¡£

¶þ¡¢ÂåÂØ×ÈÁ¦

1¡¢¸ÅÄîÓë¹æÂÉ

a¡¢ = q£¬»òÕ¹¿ªÎªf = qvBsin¦ÈÔÙ½áºÏ×ó¡¢ÓÒÊÖ¶¨ÔòÈ·¶¨·½Ïò£¨ÆäÖЦÈΪÓëµÄ¼Ð½Ç£©¡£°²ÅàÁ¦ÊÇ´óÁ¿´øµçÁ£×ÓËùÊÜÂåÂØ×ÈÁ¦µÄºê¹ÛÌåÏÖ¡£

b¡¢ÄÜÁ¿ÐÔÖÊ

ÓÉÓÚ×Ü´¹Ö±ÓëÈ·¶¨µÄÆ½Ãæ£¬¹Ê×Ü´¹Ö± £¬Ö»ÄÜÆðµ½¸Ä±äËÙ¶È·½ÏòµÄ×÷Ó᣽áÂÛ£ºÂåÂØ×ÈÁ¦¿É¶Ô´øµçÁ£×ÓÐγɳåÁ¿£¬È´²»¿ÉÄÜ×ö¹¦¡£»ò£ºÂåÂØ×ÈÁ¦¿Éʹ´øµçÁ£×ӵ͝Á¿·¢Éú¸Ä±äÈ´²»ÄÜʹÆä¶¯ÄÜ·¢Éú¸Ä±ä¡£

ÎÊÌ⣺°²ÅàÁ¦¿ÉÒÔ×ö¹¦£¬ÎªÊ²Ã´ÂåÂØ×ÈÁ¦²»ÄÜ×ö¹¦£¿

½â˵£ºÓ¦¸Ã×¢Òâ¡°°²ÅàÁ¦ÊÇ´óÁ¿´øµçÁ£×ÓËùÊÜÂåÂØ×ÈÁ¦µÄºê¹ÛÌåÏÖ¡±Õâ¾ä»°µÄÈ·Çк¬Ò塪¡ª¡°ºê¹ÛÌåÏÖ¡±ºÍ¡°ÍêÈ«ÏàµÈ¡±ÊÇÓÐÇø±ðµÄ¡£ÎÒÃÇ¿ÉÒÔ·ÖÁ½ÖÖÇéÐο´Õâ¸öÎÊÌ⣺£¨1£©µ¼Ì徲ֹʱ£¬ËùÓÐÁ£×ÓµÄÂåÂØ×ÈÁ¦µÄºÏÁ¦µÈÓÚ°²ÅàÁ¦£¨Õâ¸öÖ¤Ã÷´ÓÂÔ£©£»£¨2£©µ¼ÌåÔ˶¯Ê±£¬Á£×Ó²ÎÓëµÄÊÇÑØµ¼Ìå°ôµÄÔ˶¯v1ºÍµ¼ÌåÔ˶¯v2µÄºÏÔ˶¯£¬ÆäºÏËÙ¶ÈΪv £¬ÕâʱµÄÂåÂØ×ÈÁ¦f´¹Ö±v¶ø°²ÅàÁ¦´¹Ö±µ¼Ìå°ô£¬ËüÃÇÊDz»¿ÉÄÜÏàµÈµÄ£¬Ö»ÄÜ˵°²ÅàÁ¦ÊÇÂåÂØ×ÈÁ¦µÄ·ÖÁ¦f1 = qv1BµÄºÏÁ¦£¨¼ûͼ9-5£©¡£

ºÜÏÔÈ»£¬f1µÄºÏÁ¦£¨°²ÅàÁ¦£©×öÕý¹¦£¬¶øf²»×ö¹¦£¨»òÕß˵f1µÄÕý¹¦ºÍf2µÄ¸º¹¦µÄ´úÊýºÍΪÁ㣩¡££¨ÊÂʵÉÏ£¬ÓÉÓÚµç×Ó¶¨ÏòÒÆ¶¯ËÙÂÊv1ÔÚ10?5m/sÊýÁ¿¼¶£¬¶øv2Ò»°ã¶¼ÔÚ10?2m/sÊýÁ¿¼¶ÒÔÉÏ£¬ÖÂʹf1Ö»ÊÇfµÄÒ»¸ö¼«Ð¡·ÖÁ¿¡££©

¡îÈç¹û´ÓÄÜÁ¿µÄ½Ç¶È¿´Õâ¸öÎÊÌ⣬µ±µ¼Ìå°ô·ÅÔڹ⻬µÄµ¼¹ìÉÏʱ£¨²Î¿´Í¼9-6£©£¬µ¼Ìå°ô±Ø»ñµÃ¶¯ÄÜ£¬Õâ¸ö¶¯ÄÜÊÇÔõôת»¯À´µÄÄØ£¿

ÈôÏȽ«µ¼Ìå°ô¿¨×¡£¬»ØÂ·ÖÐÐγÉÎȺãµÄµçÁ÷£¬µçÁ÷µÄ¹¦×ª»¯Îª»ØÂ·µÄ½¹¶úÈÈ¡£¶ø½«µ¼Ìå°ôÊͷź󣬵¼Ìå°ôÊܰ²ÅàÁ¦¼ÓËÙ£¬½«ÐγɸÐÓ¦µç¶¯ÊÆ£¨·´µç¶¯ÊÆ£©¡£¶¯Á¦Ñ§·ÖÎö¿ÉÖª£¬µ¼Ìå°ôµÄ×îºóÎȶ¨×´Ì¬ÊÇÔÈËÙÔ˶¯£¨¸ÐÓ¦µç¶¯ÊƵÈÓÚµçÔ´µç¶¯ÊÆ£¬»ØÂ·µçÁ÷ΪÁ㣩¡£ÓÉÓÚ´ïµ½Îȶ¨ËÙ¶ÈǰµÄ»ØÂ·µçÁ÷ÊÇÖð½¥¼õСµÄ£¬¹ÊÔÚÏàͬʱ¼äÄÚ·¢µÄ½¹¶úÈȽ«±Èµ¼Ìå°ô±»¿¨×¡Ê±ÉÙ¡£ËùÒÔ£¬µ¼Ìå°ô¶¯ÄܵÄÔö¼ÓÊÇÒÔ»ØÂ·½¹¶úÈȵļõÉÙΪ´ú¼ÛµÄ¡£

2¡¢½öÊÜÂåÂØ×ÈÁ¦µÄ´øµçÁ£×ÓÔ˶¯

a¡¢¡Íʱ£¬ÔÈËÙÔ²ÖÜÔ˶¯£¬°ë¾¶r =  £¬ÖÜÆÚT = 

b¡¢Óë³ÉÒ»°ã¼Ð½Ç¦Èʱ£¬×öµÈÂݾàÂÝÐýÔ˶¯£¬°ë¾¶r =  £¬Âݾàd = 

Õâ¸ö½áÂÛµÄÖ¤Ã÷Ò»°ãÊǽ«·Ö½â¡­£¨¹ý³Ì´ÓÂÔ£©¡£

¡îµ«Ò²ÓÐÒ»¸öÎÊÌ⣬Èç¹û½«·Ö½â£¨³É´¹Ö±ËÙ¶È·ÖÁ¿B2ºÍƽÐÐËÙ¶È·ÖÁ¿B1 £¬Èçͼ9-7Ëùʾ£©£¬Á£×ÓµÄÔ˶¯ÇéÐÎËÆºõ¾Í²»Ò»ÑùÁË¡ª¡ªÔÚ´¹Ö±B2µÄÆ½ÃæÄÚ×öÔ²ÖÜÔ˶¯£¿

Æäʵ£¬ÔÚͼ9-7ÖУ¬B1ƽÐÐvÖ»ÊÇÒ»ÖÖÔÝʱµÄÏÖÏó£¬Ò»µ©ÊÜB2µÄÂåÂØ×ÈÁ¦×÷Óã¬v¸Ä±ä·½Ïòºó¾Í²»ÔÙÆ½ÐÐB1ÁË¡£µ±B1Ê©¼ÓÁËÂåÂØ×ÈÁ¦ºó£¬Á£×ӵġ°Ô²ÖÜÔ˶¯¡±¾ÍÎÞ·¨´ï³ÉÁË¡££¨¶øÔÚ·Ö½âvµÄ´¦ÀíÖУ¬ÕâÖÖ¾ÖÃæÊDz»»á³öÏֵġ££©

3¡¢´Å¾Û½¹

a¡¢½á¹¹£º¼ûͼ9-8£¬KºÍG·Ö±ðΪÒõ¼«ºÍ¿ØÖƼ«£¬AΪÑô¼«¼Ó¹²ÖáÏÞÖÆÄ¤Æ¬£¬ÂÝÏß¹ÜÌṩÔÈÇ¿´Å³¡¡£

b¡¢Ô­Àí£ºÓÉÓÚ¿ØÖƼ«ºÍ¹²ÖáĤƬµÄ´æÔÚ£¬µç×Ó½ø´Å³¡µÄ·¢É¢½Ç¼«Ð¡£¬¼´ËٶȺʹų¡µÄ¼Ð½Ç¦È¼«Ð¡£¬¸÷Á£×Ó×öÂÝÐýÔ˶¯Ê±¿ÉÒÔÈÏΪÂݾà±Ë´ËÏàµÈ£¨°ë¾¶¿ÉÒÔ²»µÈ£©£¬¹ÊËùÓÐÁ£×ӻᡰ¾Û½¹¡±ÔÚÓ«¹âÆÁÉϵÄPµã¡£

4¡¢»ØÐý¼ÓËÙÆ÷

a¡¢½á¹¹&Ô­Àí£¨×¢Òâ¼ÓËÙʱ¼äÓ¦ºöÂÔ£©

b¡¢´Å³¡Óë½»±äµç³¡ÆµÂʵĹØÏµ

Òò»ØÐýÖÜÆÚTºÍ½»±äµç³¡ÖÜÆÚT¡ä±ØÏàµÈ£¬¹Ê =

c¡¢×î´óËÙ¶È vmax = = 2¦ÐRf

5¡¢ÖÊÆ×ÒÇ

ËÙ¶ÈÑ¡ÔñÆ÷&Á£×ÓÔ²ÖÜÔ˶¯£¬ºÍ¸ß¿¼ÒªÇóÏàͬ¡£

µÚ¶þ½² µäÐÍÀýÌâ½âÎö

Ò»¡¢´Å³¡Óë°²ÅàÁ¦µÄ¼ÆËã

¡¾ÀýÌâ1¡¿Á½¸ùÎÞÏÞ³¤µÄƽÐÐÖ±µ¼Ïßa¡¢bÏà¾à40cm£¬Í¨¹ýµçÁ÷µÄ´óС¶¼ÊÇ3.0A£¬·½ÏòÏà·´¡£ÊÔÇóλÓÚÁ½¸ùµ¼ÏßÖ®¼äÇÒÔÚÁ½µ¼ÏßËùÔÚÆ½ÃæÄڵġ¢Óëaµ¼ÏßÏà¾à10cmµÄPµãµÄ´Å¸ÐÇ¿¶È¡£

¡¾½â˵¡¿ÕâÊÇÒ»¸ö¹ØÓÚ±ÏÈø¶¨Âɵļòµ¥Ó¦Ó᣽âÌâ¹ý³Ì´ÓÂÔ¡£

¡¾´ð°¸¡¿´óСΪ8.0¡Á10?6T £¬·½ÏòÔÚͼ9-9Öд¹Ö±Ö½ÃæÏòÍâ¡£

¡¾ÀýÌâ2¡¿°ë¾¶ÎªR £¬Í¨ÓеçÁ÷IµÄÔ²ÐÎÏßȦ£¬·ÅÔڴŸÐÇ¿¶È´óСΪB ¡¢·½Ïò´¹Ö±ÏßÈ¦Æ½ÃæµÄÔÈÇ¿´Å³¡ÖУ¬ÇóÓÉÓÚ°²ÅàÁ¦¶øÒýÆðµÄÏßȦÄÚÕÅÁ¦¡£

¡¾½â˵¡¿±¾ÌâÓÐÁ½Öֽⷨ¡£

·½·¨Ò»£º¸ôÀëһС¶Î»¡£¬¶ÔÓ¦Ô²ÐĽǦȠ£¬Ôò»¡³¤L = ¦ÈR ¡£ÒòΪ¦È ¡ú

Î¥·¨ºÍ²»Á¼ÐÅÏ¢¾Ù±¨µç»°£º027-86699610 ¾Ù±¨ÓÊÏ䣺58377363@163.com

¾«Ó¢¼Ò½ÌÍø