题目内容

“2003年10月15日9时,我国神舟五号宇宙飞船在酒泉卫星发射中心成功发射,把中国第一位航天员杨利伟送入太空。飞船绕地球飞行14圈后,于10月16日6时23分安全降落在内蒙古主着陆场。”根据以上消息,近似地把飞船从发射到降落的全部运动看做绕地球的匀速圆周运动,试估算神舟五号绕地球飞行时距地面的高度(已知地球的质量,地球的半径)。

答案:300km
解析:

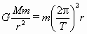
解析:“神舟”五号绕地球运动的向心力由其受到的地球对它的万有引力提供,,故

其中周期,则:

,其距地面的高度为


练习册系列答案
相关题目

违法和不良信息举报电话:027-86699610 举报邮箱:58377363@163.com

精英家教网