题目内容

(1)开普勒行星运动第三定律指出:行星绕太阳运动的椭圆轨道的半长轴a的三次方与它的公转周期T的二次方成正比,即=k,k是一个对所有行星都相同的常量.将行星绕太阳的运动按圆周运动处理,请你推导出太阳系中该常量k的表达式.已知引力常量为G,太阳的质量为M

(2)开普勒定律不仅适用于太阳系,它对一切具有中心天体的引力系统(如地月系统)都成立.经测定月地距离为3.84×108 m,月球绕地球运动的周期为2.36×106 S,试计算地球的质M.(G=6.67×10-11 Nm2/kg2,结果保留一位有效数字)

答案:
解析:

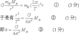
  解:(1)因行星绕太阳作匀速圆周运动,于是轨道的半长轴a即为轨道半径r.根据万有引力定律和牛顿第二定律有

  

  (2)在月地系统中,设月球绕地球运动的轨道半径为R,周期为T,由②式可得

    ④  (3分)

  解得M=6×1024 kg  ⑤  (2分)

  (M=5×1024 kg也算对)


练习册系列答案
相关题目

违法和不良信息举报电话:027-86699610 举报邮箱:58377363@163.com

精英家教网