题目内容
一质点以v=2m/s的初速度做匀加速直线运动,第2秒未速度变为v1=4m/s,求:(1)物体的加速度大小a
(2)第5秒末的速度大小v2
(3)第二个2秒内位移大小x.
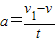
【答案】分析:(1)根据加速度的定义式
,计算物体的加速度大小a.
(2)根据速度公式得v2=v+at,计算第5秒末的速度大小v2.
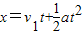
(3)根据位移公式得
,代入数据计算第二个2秒内位移大小x.
解答:解:(1)根据加速度的定义式得
(2)根据速度公式得v2=v+at=2+1×5m/s=7m/s
(3)根据位移公式得
答:(1)物体的加速度大小a为1m/s2.
(2)第5秒末的速度大小v2为7m/s.
(3)第二个2秒内位移大小x为10m.
点评:本题考查加速度的定义式、速度公式和位移公式,比较简单,直接代入数据计算,属于基础题.
(2)根据速度公式得v2=v+at,计算第5秒末的速度大小v2.
(3)根据位移公式得
解答:解:(1)根据加速度的定义式得
(2)根据速度公式得v2=v+at=2+1×5m/s=7m/s
(3)根据位移公式得
答:(1)物体的加速度大小a为1m/s2.
(2)第5秒末的速度大小v2为7m/s.
(3)第二个2秒内位移大小x为10m.
点评:本题考查加速度的定义式、速度公式和位移公式,比较简单,直接代入数据计算,属于基础题.
练习册系列答案
相关题目