题目内容
如图所示,竖直放置的圆柱形气缸内有一不计质量的活塞,可在气缸内作无摩擦滑动,活塞下方封闭一定质量的气体.已知活塞截面积为100cm2,大气压强为1.0×105Pa,气缸内气体温度为27℃,试求:(1)若保持温度不变,在活塞上放一重物,使气缸内气体的体积减小一半,这时气体的压强和所加重物的重力.
(2)在加压重物的情况下,要使气缸内的气体恢复原来体积,应对气体加热,使温度升高到多少摄氏度.
【答案】分析:先根据理想气体的等温变化解得此时气体的压强,然后根据
,解得所加的物体重力.第二步气体做的是等压变化,根据等压变化的规律来解.
解答:解:(1)若保持温度不变,在活塞上放一重物,使气缸内气体的体积减小一半,
根据理想气体的等温变化:P1V1=P2V2
P1=1×105Pa V1=V
P2=P2 V2=
解得:P2=2×105Pa
活塞面积:S=100×10-4m2=10-2m2
因为P2=P+
解得:所加的重物 G=1000N
(2)在加压重物的情况下,保持气缸内压强不变,
要使气缸内的气体恢复原来体积,应对气体加热,
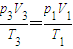
已知P3=2×105Pa V3=V T3=T3
根据理想气体状态方程:
解得:T3=600K
所以t=T-273℃=327℃
答:(1)若保持温度不变,在活塞上放一重物,使气缸内气体的体积减小一半,这时气体的压强为2×105Pa,所加重物的重力为1000N;
(2)在加压重物的情况下,要使气缸内的气体恢复原来体积,应对气体加热,使温度升高到327℃.
点评:正确应用理想气体状态方程的前提是:判断此变化过程是属于等压、等容、还是等温变化.
解答:解:(1)若保持温度不变,在活塞上放一重物,使气缸内气体的体积减小一半,
根据理想气体的等温变化:P1V1=P2V2
P1=1×105Pa V1=V
P2=P2 V2=
解得:P2=2×105Pa
活塞面积:S=100×10-4m2=10-2m2
因为P2=P+
解得:所加的重物 G=1000N
(2)在加压重物的情况下,保持气缸内压强不变,
要使气缸内的气体恢复原来体积,应对气体加热,
已知P3=2×105Pa V3=V T3=T3
根据理想气体状态方程:
解得:T3=600K
所以t=T-273℃=327℃
答:(1)若保持温度不变,在活塞上放一重物,使气缸内气体的体积减小一半,这时气体的压强为2×105Pa,所加重物的重力为1000N;
(2)在加压重物的情况下,要使气缸内的气体恢复原来体积,应对气体加热,使温度升高到327℃.
点评:正确应用理想气体状态方程的前提是:判断此变化过程是属于等压、等容、还是等温变化.
练习册系列答案
相关题目