题目内容

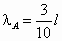
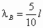
图(a)、(b)、(c)是窄缝宽度不变,改变水波的波长,观察波的衍射现象实验时拍下的三张照片.窄缝宽度为l,三种波的波长分别为

(1)请你指出哪张照片表示的是

(2)由实验可得出什么结论.

答案:略
解析:

(1)(a)表示的波长(b)表示的波长(c)表示的波长

(2)实验说明,波长与孔的尺寸相差不多时衍射现象明显.


练习册系列答案
相关题目

违法和不良信息举报电话:027-86699610 举报邮箱:58377363@163.com

精英家教网