题目内容
(6分)某学习小组利用自行车的运动“探究阻力做功与速度变化的关系”.人骑自行车在平直的路面上运动,当人停止蹬车后,由于受到阻力作用,自行车的速度会逐渐减小至零,如图所示.在此过程中,阻力做功使自行车的速度发生变化.设自行车无动力后受到的阻力恒定.
![]()
(1)在实验中使自行车在平直的公路上获得某一速度后停止蹬车,需要测出人停止蹬车后自行车向前滑行的距离s,为了计算自行车的初速度v,还需要测量_______(填写物理量的名称及符号).
(2)设自行车受到的阻力恒为f,计算出阻力做的功W及自行车的初速度v.改变人停止蹬车时自行车的速度,重复实验,可以得到多组测量值,以阻力对自行车做功的大小为纵坐标,自行车初速度为横坐标,作出W-v曲线.分析这条曲线,就可以得到阻力做的功与自行车速度变化的定性关系.在实验中作出W-v图象如图所示,其中符合实际情况的是______________.
![]()
【答案】
人停止蹬车后自行车向前滑行的时间t(3分);(1)C (3分);
【解析】
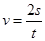
试题分析:(1)因停止蹬车后自行车只受摩擦阻力,做匀减速直线运动,根据平均速度公式
可知,自行车的初速度
,故还需要测量出人停止蹬车后自行车向前滑行的时间t;(2)根据动能定理有
得知
,故只有选项C正确;
考点:动能定理、匀变速直线运动公式
练习册系列答案
相关题目
