题目内容
如图所示的电路中,电压U恒为9V,滑动变阻器总电阻为7Ω,灯L标有“3V 1.5w”的字样,为使灯正常发光,滑动变阻器上部pa段电阻的大小应为 Ω,此时滑动变阻器消耗的电功率为 w.
【答案】分析:灯泡与pb段电阻并联,再与pa段电阻串联,根据灯泡正常发光时的电压求出Pa段电阻的电压,根据灯泡的电流和pb段电流之和等于通过pa段的电流,根据欧姆定律求出pa段的电阻.滑动变阻器消耗的电功率等于两部分消耗的功率之和.
解答:解:设pa段电阻为R,则pb段的电流
,通过灯泡的电流为
,通过pa段的电流
,因为Ipa=IL+Ipb,
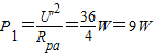
,解得R=4Ω.pa段电阻消耗的功率为
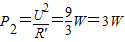
,pb段电阻消耗的功率
,所以整个滑动变阻器消耗的电功率P=P1+P2=12W.
故答案为:4,12.
点评:解决本题的关键知道串并联电路的特点,熟练运用欧姆定律.
解答:解:设pa段电阻为R,则pb段的电流
故答案为:4,12.
点评:解决本题的关键知道串并联电路的特点,熟练运用欧姆定律.
练习册系列答案
相关题目
| A、L2的灯丝烧断了 | B、L1的灯丝烧断了 | C、L1和L2和灯丝都烧断了 | D、变阻器R断路 |
| A、电压表读数增大时,电流表读数增大,浓度ρ增大 | B、电压表读数减小时,电流表读数减小,浓度ρ增大 | C、电压表读数增大时,电流表读数减小,浓度ρ减小 | D、电压表读数减小时,电流表读数增大,浓度ρ減小 |