题目内容
有一只小老鼠离开洞穴沿直线前进,它的速度与到洞穴的距离成反比,当它行进到离洞穴距离为d1的甲处时速度为v1,则老鼠行进到离洞穴距离为d2的乙处时速度v2=______.
【答案】分析:小老鼠的速度与到洞穴的距离成反比,由离洞穴距离为d1的甲处时速度为v1,求出比例系数;则可求出离洞穴距离为d2的乙处时速度.
解答:解:小老鼠的速度与到洞穴的距离成反比,则有:v=
,
当离洞穴距离为d1的甲处时速度为v1,则有:
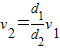
当老鼠行进到离洞穴距离为d2的乙处时速度v2=
联立上两式可得:
故答案为:
点评:本题突破口:速度与洞穴的距离成反比,且求出成反比的比例系数.
解答:解:小老鼠的速度与到洞穴的距离成反比,则有:v=
当离洞穴距离为d1的甲处时速度为v1,则有:
当老鼠行进到离洞穴距离为d2的乙处时速度v2=
联立上两式可得:
故答案为:
点评:本题突破口:速度与洞穴的距离成反比,且求出成反比的比例系数.
练习册系列答案
相关题目
有一只小老鼠离开洞穴沿直线前进,它的速率与到洞穴的距离成反比,当它行进到离洞穴距离为d1的甲处时速率为v1,到离洞穴距离为d2的乙处时速率为v2,则这只小老鼠从甲处到乙处所用的时间为( )
A、
| ||||||
B、
| ||||||
C、
| ||||||
D、
|