ÌâÄ¿ÄÚÈÝ

µÂ¹ú¿ÆÑ§¼ÒÓÿھ¶Îª3.5mµÄÌìÎÄÍûÔ¶¾µ£¬¶ÔÁÔ»§×ùÖÐλÓÚÒøºÓÓëϵÖÐÐĸ½½üµÄÐÇÌå½øÐÐÁ˽ü6ÄêµÄ¹Û²ì£¬·¢ÏÖÁËÓëÒøºÓϵÖÐÐľàÀëµÄÐÇÌ壬ÕýÒÔµÄËÙ¶ÈÎ§ÈÆÒøºÓϵÖÐÐÄÐýת£¬¾Ý´ËÌá³öÒøºÓϵÖÐÐÄ¿ÉÄÜ´æÔÚÒ»¸ö´óºÚ¶´£®ºÚ¶´ÊÇÒ»ÖÖÃܶȼ«´óµÄÌìÌ壬Æä±íÃæµÄÒýÁ¦ÊÇÈç´Ë֮ǿ£¬ÒÔÖÁ°üÀ¨¹âÔÚÄÚµÄËùÓÐÎïÖʶ¼ÌÓÍѲ»ÁËÆäÒýÁ¦µÄ×÷Ó㮵±ºÚ¶´±íÃæµÄÎïÌåËÙ¶È´ïµ½¹âËÙcʱ²ÅÄÜÇ¡ºÃÎ§ÈÆÆä±íÃæ×öÔÈËÙÔ²ÖÜÔ˶¯£®

(1)ÊÔд³ö¼ÆËãºÚ¶´°ë¾¶µÄ±í´ïʽ(ÓÃr¡¢v¡¢c±íʾ)£»

(2)ÓÉÒÑÖªÊý¾Ý¹ÀËã¸ÃºÚ¶´µÄ°ë¾¶Öµ£®

´ð°¸£ºÂÔ
½âÎö£º

(1)(2)

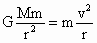
(1)¸ù¾ÝÓëÒøºÓϵÖÐÐľàÀëµÄÐÇÌ壬ÒÔµÄËÙ¶ÈÎ§ÈÆÒøºÓϵÖÐÐÄÐýת£¬¿ÉµÃ

(ʽÖÐmΪÐÇÌåµÄÖÊÁ¿£¬MΪºÚ¶´µÄÖÊÁ¿)£®

ÉèÖÊÁ¿Îªm¡äµÄÎïÌåÈÆºÚ¶´±íÃæ×öÔÈËÙÔ²ÖÜÔ˶¯£¬ÔòÓÐ

£®

ÁªÁ¢ÉÏÊöÁ½Ê½£¬¼´¿ÉÇó³öºÚ¶´µÄ°ë¾¶£®

(2)´úÈëÊý¾ÝµÃºÚ¶´µÄ°ë¾¶

£®


Á·Ï°²áϵÁдð°¸
Ïà¹ØÌâÄ¿

Î¥·¨ºÍ²»Á¼ÐÅÏ¢¾Ù±¨µç»°£º027-86699610 ¾Ù±¨ÓÊÏ䣺58377363@163.com

¾«Ó¢¼Ò½ÌÍø