题目内容
质谱仪是一种测定带电粒子质量和分析同位素的重要工具.它的构造原理如图所示,离子源S产生带电量为q的某种正离子,离子射出时的速度很小,可以看作是静止的,离子经过电压U加速后形成离子束流,然后垂直于磁场方向进入磁感应强度为B的匀强磁场,沿着半圆周运动而到达记录它的照相底片P上.实验测得:它在P上的位置到入口处S1的距离为a,离子束流的电流为I.请回答下列问题:(1)在时间t内射到照相底片P上的离子的数目为多少?
(2)单位时间穿过入口处S1离子束流的能量为多少?
(3)试证明这种离子的质量为
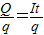
【答案】分析:(1)根据Q=It求出所有离子的电量,根据
求出离子的数目.
(2)根据E总=UQ求出粒子束的总能量,从而求出单位时间内穿过入口处S1离子束流的能量.
(3)根据动能定理,结合带电粒子在匀强磁场中运动的半径公式求出离子质量的表达式.
解答:
解:(1)在时间t内射到照相底片P上的离子总电量为
Q=It
在时间t内射到照相底片P上的离子数目为
n=
(2)在时间t内穿过入口处S1离子束流的能量为
E总=UQ=UIt
单位时间穿过入口处S1离子束流的能量为
E=
(3)离子在电场中做加速运动得
Uq=
(1)
在磁场中运动有
BVq=
(2)
由(1)(2)得:
.
答:(1)在时间t内射到照相底片P上的离子的数目为
.
(2)单位时间穿过入口处S1离子束流的能量为UI.
(3)证明如上.
点评:本题综合考查了动能定理和牛顿第二定律,通过洛伦兹力提供向心力求出质量的表达式,以及掌握电量与电流的关系.
(2)根据E总=UQ求出粒子束的总能量,从而求出单位时间内穿过入口处S1离子束流的能量.
(3)根据动能定理,结合带电粒子在匀强磁场中运动的半径公式求出离子质量的表达式.
解答:
Q=It
在时间t内射到照相底片P上的离子数目为
n=
(2)在时间t内穿过入口处S1离子束流的能量为
E总=UQ=UIt
单位时间穿过入口处S1离子束流的能量为
E=
(3)离子在电场中做加速运动得
Uq=
在磁场中运动有
BVq=
由(1)(2)得:
答:(1)在时间t内射到照相底片P上的离子的数目为
(2)单位时间穿过入口处S1离子束流的能量为UI.
(3)证明如上.
点评:本题综合考查了动能定理和牛顿第二定律,通过洛伦兹力提供向心力求出质量的表达式,以及掌握电量与电流的关系.
练习册系列答案
相关题目