题目内容

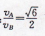
土星周围有许多大小不等的岩石颗粒,其绕土星的运动可视为圆周运动,其中有两个岩石颗粒A和B与土星中心的距离分别为rA=8.0×l04km和rB =1.2×l05 km.忽略所有岩石颗粒间的相互作用.(结果可用根式表示)

1.求岩石颗粒A和B的线速度之比;

2.求岩石颗粒A和B酌周期之比;

3.土星探测器上有一物体,在地球上重为10N,推算出它在距土星中心3.2×l05 km处受到土星的引力为0.38N,已知地球半径为6.4×l04 km,请估算土星质量是地球质量的多少倍?

 

【答案】

 

1.

2.

3.95

【解析】

 

 

练习册系列答案
相关题目

违法和不良信息举报电话:027-86699610 举报邮箱:58377363@163.com

精英家教网