ÌâÄ¿ÄÚÈÝ

1801Ä꣬ÍÐÂí˹¡¤ÑîÊÏË«·ì¸ÉÉæÊµÑéÑо¿Á˹ⲨµÄÐÔÖÊ¡£1834Ä꣬Âå°£ÀûÓõ¥Ã澵ͬÑùµÃµ½ÁËÑîÊϸÉÉæ½á¹û£¨³ÆÂå°£¾µÊµÑ飩¡£
Âå°£¾µÊµÑéµÄ»ù±¾×°ÖÃÈçͼËùʾ£¬Îªµ¥¹âÔ´£¬ÎªÒ»Æ½Ãæ¾µ¡£ÊÊÓÃÆ½Ãæ¾µ³ÉÏñ×÷ͼ·¨»­³ö¾­Æ½Ãæ¾µ·´ÉäºóµÄ¹âÓëÖ±Ïß·¢³öµÄ¹âÔÚÆÁÉÏÏཻ
µÄÇøÓò¡£
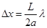
(2) Éè¹âÔ´µ½Æ½Ãæ¾µµÄ´¹Ö±¾àÀëºÍµ½¹âÆÁµÄ´¹Ö±  ¾àÀë·Ö±ðΪºÍ£¬¹âµÄ²¨³¤Îª£¬ÔÚ¹âÆÁÉÏÐγɸÉÉæÌõÎÆ¡£ÔòÏàÁÚÁ½ÌõÁÁÎÆ£¨»ò°µÎÆ£©¼ä¾àÀëµÄ±í´ïʽΪ_______________¡£

Á·Ï°²áϵÁдð°¸
Ïà¹ØÌâÄ¿

Î¥·¨ºÍ²»Á¼ÐÅÏ¢¾Ù±¨µç»°£º027-86699610 ¾Ù±¨ÓÊÏ䣺58377363@163.com

¾«Ó¢¼Ò½ÌÍø